相关习题
 0  70606  70614  70620  70624  70630  70632  70636  70642  70644  70650  70656  70660  70662  70666  70672  70674  70680  70684  70686  70690  70692  70696  70698  70700  70701  70702  70704  70705  70706  70708  70710  70714  70716  70720  70722  70726  70732  70734  70740  70744  70746  70750  70756  70762  70764  70770  70774  70776  70782  70786  70792  70800  211419 

科目: 来源:2012-2013学年广东省揭阳市普宁市军埠镇九年级(上)第13周化学竞赛试卷(解析版) 题型:解答题

“水循环”和“碳循环”是自然界存在的两大重要循环.结合你所学到的化学知识回答下面有关问题.
(1)从微观的角度看,水分子是由______构成的.
(2)从宏观的角度看,二氧化碳是由______组成的.
(3)从分子、原子及元素的角度看,地球表面的“水循环”主要是由______的运动引起的,自然界“碳循环”中的“碳”是指______.

查看答案和解析>>

科目: 来源:2012-2013学年广东省揭阳市普宁市军埠镇九年级(上)第13周化学竞赛试卷(解析版) 题型:解答题

用“”和“”分别代表两种不同的单质分子A2和B2,它们在一定条件下能发生化学反应,其反应的微观示意图如下:

(1)参加反应的A2与生成物分子的个数比为______.
(2)反应后的物质是______(填“纯净物”、“混合物”).
(3)生成物的化学式为______(用A、B表示).

查看答案和解析>>

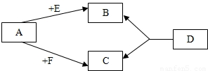
科目: 来源:2012-2013学年广东省揭阳市普宁市军埠镇九年级(上)第13周化学竞赛试卷(解析版) 题型:填空题

已知A、E、F是单质,B、C、D是化合物,它们分别是由碳、氢、氧三种元素中的一种或者几种组成.其中B是相对分子质量最小的氧化物,D物质很不稳定,容易分解生成B和C,它们之间的转化关系如图所示.
(1)则A、E的化学式为A    ,E   
(2)请你写出以下变化的化学方程式:
A+F→C   
D→B+C   

查看答案和解析>>

科目: 来源:2012-2013学年广东省揭阳市普宁市军埠镇九年级(上)第13周化学竞赛试卷(解析版) 题型:填空题

联合国决定2011年为“国际化学年”,其活动主题为“化学--我们的生活,我们的未来”.
(1)化学--使生活丰富多彩.新型锂离子电池在新能源的开发中占有重要地位,已知锂原子(Li)的结构示意图为,则锂离子的符号为   
(2)化学--为健康保驾护航,超超奶奶骨质疏松,医生建议奶奶服用含葡萄糖酸钙[Ca(C6H11O72]的补钙剂.则葡萄糖酸钙中所含碳氢元素质量比为   
(3)化学--让未来充满希望,纳米材料石墨烯可能帮助科学家实现修建太空天梯的构想.石墨烯由碳原子构成,请推测石墨烯可能具有的一条化学性质   

查看答案和解析>>

科目: 来源:2012-2013学年广东省揭阳市普宁市军埠镇九年级(上)第13周化学竞赛试卷(解析版) 题型:解答题

某学习小组围绕“气体实验室制取”进行了研讨.请你参与完成下面的问题.

(1)原理分析:实验室制取CO2的化学方程式为______.不用Na2CO3与盐酸反应制取CO2的原因是______.
(2)发生装置:图①装置中仪器a的名称是______.实验室常用无水醋酸钠固体与碱石灰在加热的情况下制CH4,应选图______(填序号)发生装置.
(3)收集装置:实验室收集NH3应采用的方法是______.收集有毒气体SO2时,常采用③收集装置,气体应从______(填字母)端通入.
(4)实验操作:用KMnO4制取O2的操作过程可概括为“组装仪器→______→______→固定试管→收集气体→停止加热”.
(5)实验反思:在加热KClO3制O2的过程中,发现产生O2的速率很慢,经检查不是KClO3变质,也不是装置气密性不好,你认为最可能的原因是______.

查看答案和解析>>

科目: 来源:2012-2013学年广东省揭阳市普宁市军埠镇九年级(上)第13周化学竞赛试卷(解析版) 题型:填空题

达州盛产天然气,有“中国气都”之称的美誉.天然气的主要成分是甲烷(CH4),我校化学兴趣小组的同学对甲烷燃烧的产物产生了兴趣,请你参与:
【提出问题】:甲烷燃烧后生成哪些物质?
【查阅资料】:含碳元素的物质完全燃烧生成CO2,不完全燃烧生成CO;无水CuSO4遇水变蓝.
【猜想与假设】:甲 CO2 H2O;乙 CO  H2O;丙 NH3CO2 H2O;丁 CO2 CO  H2O.
你认为    同学的猜想是错误的,理由是   
【实验探究】:为了验证上述猜想与假设,将甲烷在一定量的O2中燃烧的产物依次通过如图所示装置:

(1)A、B装置的顺序能否颠倒?(填“能“或“否”)   
(2)实验中用纯净O2而不用空气的原因是   
(3)实验中观察到A中无水CuSO4变蓝,B、D中澄清石灰水变浑浊,C中红色粉末变成黑色,由此推断    同学猜想成立.
(4)请写出B中澄清石灰水变浑浊、C中红色粉末变成黑色的化学方程式:       
【反思与交流】:为避免有毒的CO污染环境,所以含碳元素的物质燃烧必须满足的条件是   

查看答案和解析>>

科目: 来源:2012-2013学年广东省揭阳市普宁市军埠镇九年级(上)第13周化学竞赛试卷(解析版) 题型:解答题

如图是已破损的维生素C(简写Vc)说明书部分信息.已知维生素C
由碳、氢、氧三种元素组成.请回答:
(1)Vc中碳、氢元素质量之比为______;
(2)Vc的化学式为______;
(3)小辉妈妈每天服用Vc片剂,小辉建议妈妈可食用西红柿一代替Vc片,若100g西红柿含Vc30mg,则小辉妈妈每天食用西红柿______g即可达到服用上述Vc片的效果.

查看答案和解析>>

科目: 来源:2012-2013学年广东省揭阳市普宁市军埠镇九年级(上)第13周化学竞赛试卷(解析版) 题型:解答题

碳酸钙是牙膏中一种常用的摩擦剂,可用石灰石作原料来制备.宜昌市某牙膏厂现有一批石灰石样品,小丽为探究所含碳酸钙的质量分数,称取500g样品,磨成粉末后,放在电炉上高温煅烧至质量不再发生变化,称量剩余物质量为302g.(有关反应的化学方程式为:CaCO3CaO+CO2↑,假设石灰石样品中杂质不参加反应.)
据此我能计算:
(1)生成二氧化碳的质量;
(2)此石灰石样品中碳酸钙的质量分数.

查看答案和解析>>

科目: 来源:2007-2008学年江苏省徐州市丰县九年级(上)期中化学试卷(解析版) 题型:选择题

下列变化中,属于化学变化的是( )
A.汽油挥发
B.冰雪融化
C.铁生锈
D.液化空气

查看答案和解析>>

科目: 来源:2007-2008学年江苏省徐州市丰县九年级(上)期中化学试卷(解析版) 题型:选择题

某1L纯牛奶的包装盒上面有如下一些数据(每100g内):脂肪≥3.3g、蛋白质≥2.9g、非脂乳固体≥8.1g、钾≥145mg、钙≥115mg.这里的钾、钙是指( )
A.分子
B.原子
C.单质
D.元素

查看答案和解析>>

同步练习册答案