相关习题
 0  70819  70827  70833  70837  70843  70845  70849  70855  70857  70863  70869  70873  70875  70879  70885  70887  70893  70897  70899  70903  70905  70909  70911  70913  70914  70915  70917  70918  70919  70921  70923  70927  70929  70933  70935  70939  70945  70947  70953  70957  70959  70963  70969  70975  70977  70983  70987  70989  70995  70999  71005  71013  211419 

科目: 来源:2006-2007学年江西省九江市九年级(上)月考化学试卷(解析版) 题型:填空题

经过初中阶段的化学学习,我们可以初步认识到:化学反应的现象、生成物,与反应物量的多少、反应条件有着密切的关系.请根据题目中提示各举一例,回答下列问题.(用文字表述)
(1)反应物的量不同,反应现象可能不同   
(2)反应物的量不同,生成物可能不同   

查看答案和解析>>

科目: 来源:2006-2007学年江西省九江市九年级(上)月考化学试卷(解析版) 题型:填空题

请用CO,CO2,H2,O2,C  填空:
①可以帮助燃烧的是   
②可以燃烧且产物不污染环境的是   
③可以冶炼金属的单质气体是   
④可以用于温室肥料的是   
⑤有毒气体是   
⑥天然最硬的物质其化学式是   
⑦只能用向上排气法收集的气体是   

查看答案和解析>>

科目: 来源:2006-2007学年江西省九江市九年级(上)月考化学试卷(解析版) 题型:填空题

如图是某个化学反应前、后微观模拟图.请根据图示回答:
(1)该化学反应中,参加反应的与反应后生成的各粒子间的个数比为   

(2)该反应的基本反应类型为   
(3)该反应中的生成物    (填“可能”或“不可能”)属于氧化物.

查看答案和解析>>

科目: 来源:2006-2007学年江西省九江市九年级(上)月考化学试卷(解析版) 题型:解答题

可用推拉注射器栓塞的方法检查如图装置的气密性.当缓慢推活塞时,如果装置气密性好,可观察到______
A.长颈漏斗内液面上升          B.瓶中液面上升
C.长颈漏斗下端口产生气泡      D.注射器内有液体.

查看答案和解析>>

科目: 来源:2006-2007学年江西省九江市九年级(上)月考化学试卷(解析版) 题型:填空题

为延长白炽灯泡使用时间,灯泡内放有极少量的红磷,其理由是(用化学方程式表示):   

查看答案和解析>>

科目: 来源:2006-2007学年江西省九江市九年级(上)月考化学试卷(解析版) 题型:解答题

任何物质在有利同时必有害.请填空
有利一面(用途)有害一面
CO2____________
再填一种__________________

查看答案和解析>>

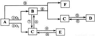
科目: 来源:2006-2007学年江西省九江市九年级(上)月考化学试卷(解析版) 题型:填空题

有A、B、C、D、E、F六种物质,其中A、B、C、D、E五种物质的组成中均含有同一种元素,A、F为单质,其余为化合物,D是鸡蛋壳及石灰石的主要成分.它们之间有如下转化关系(一些必要的反应物和反应条件已略去):

请回答:
(1)写出A和D的名称:A    ,D   
(2)向E的溶液中滴加紫色石蕊溶液的现象是   
(3)写出反应④的化学方程式:        等;
(4)指出反应⑤在物质鉴别中的应用:   
(5)从反应①②可得到的启示是:   

查看答案和解析>>

科目: 来源:2006-2007学年江西省九江市九年级(上)月考化学试卷(解析版) 题型:解答题

下表列出了空气、氧气、二氧化碳、氨气在标准状况下的密度和溶解性.
物质空气氧气二氧化碳氨气(NH3
溶解性/不易溶能溶极易溶
加热
已知实验室可用下列反应制取氨气:2NH4C1(固)+Ca(OH)2(固)═CaCl2+2NH3↑+2H2O.
(1)根据上述信息,选择实验室制取和收集氧气、二氧化碳、氨气的装置,请在相关空格处√.


氧气
二氧化碳
氨气
(2)写出图中有标号仪器的名称:a______;b______.
(3)若用锌和稀盐酸常温下制氢气,同时生成氯化锌.则选用的发生装置是______
④选用A作为发生装置的必须具备条件是______.

查看答案和解析>>

科目: 来源:2006-2007学年江西省九江市九年级(上)月考化学试卷(解析版) 题型:填空题

今年6月1日,江苏省环保厅公布了2005年全省环境质量公报.公报显示,无锡市空气质量较差,为中污染级,其中二氧化硫未能达到国家环境空气质量二级标准.某研究性学习小组的同学认为“保护环境,人人有责”,他们在课外活动时对“二氧化硫能否与水反应生成酸”进行了实验探究.请你参与他们的探究活动,并回答有关问题.
[查资料]常温下二氧化硫是一种无色气体,易溶于水.
[假    设]二氧化硫能与水反应生成酸.
[设计实验]
(1)小雨同学将二氧化硫气体通入紫色石蕊试液中,观察溶液颜色的变化.他认为,若紫色石蕊试液变    色,则证明假设成立.
(2)小涛同学认为小雨同学的实验方案不严密.小涛同学用紫色石蕊试液将白色滤纸染成紫色,干燥后做成三朵紫色的小花,然后按下列图示进行实验,在(I)、(Ⅱ)、(Ⅲ)中分别观察到变色和不变色的两种现象.

小涛同学认为,若    (填序号)中的紫色小花变色,则证明假设成立.
(3)[交流与反思]小明同学对小涛同学的实验方案提出了质疑,他认为上述实验还不足以证明“二氧化硫和水反应生成了酸”,其理由是   
(4)三位同学讨论后补充了一个实验,使探究活动获得了成功,你认为这个实验应该是   
(简述实验步骤和现象).
[结     论]通过上述实验得出:二氧化硫能与水反应生成酸.

查看答案和解析>>

科目: 来源:2006-2007学年江西省九江市九年级(上)月考化学试卷(解析版) 题型:解答题

实验室提供如图所示常用仪器,供完成下列气体制取实验时选用(不可重复选用).
(1)实验室采用加热高锰酸钾晶体制取O2时,其发生装置必需选用上述仪器中的(填写序号,下同)______,还缺少的仪器是______.

(2)过氧化氢(H2O2)俗称双氧水,常温下是一种无色液体,它在土豆块的催化作用下能迅速分解,放出氧气.若实验室采用该反应原理制取O2,并且在实验过程中可以随时添加双氧水,上述仪器中必需使用的有______.
(3)若直接使用如图所示装置收集O2,O2由______口进入;若将装置中充满水,O2由______口进入.该装置除收集气体外,还可用作______.

查看答案和解析>>

同步练习册答案