相关习题
0 71155 71163 71169 71173 71179 71181 71185 71191 71193 71199 71205 71209 71211 71215 71221 71223 71229 71233 71235 71239 71241 71245 71247 71249 71250 71251 71253 71254 71255 71257 71259 71263 71265 71269 71271 71275 71281 71283 71289 71293 71295 71299 71305 71311 71313 71319 71323 71325 71331 71335 71341 71349 211419
科目:
来源:2006-2007学年广东省佛山市高明区九年级(上)期末化学试卷(解析版)
题型:选择题
实验结束后,下列仪器的放置方法正确的是( )
A.

B.

C.

D.

查看答案和解析>>
科目:
来源:2006-2007学年广东省佛山市高明区九年级(上)期末化学试卷(解析版)
题型:选择题
当水的温度和压强升高到某临界点以上时,就会处于一种既不同于液态,又不同于固态和气态的新的流体态--超临界态.在超临界态水中,某些有机高分子会很快被氧化为无毒小分子.下列说法不正确的是( )
A.超临界态水是一种新物质
B.超临界态水不会形成二次污染
C.超临界态水是一种新型催化剂
D.超临界态水可用于解决白色污染问题
查看答案和解析>>
科目:
来源:2006-2007学年广东省佛山市高明区九年级(上)期末化学试卷(解析版)
题型:选择题
将一定量的镁条放入到过量的稀盐酸中,下列表示反应过程中变化关系的曲线,正确的是( )
A.

B.

C.

D.

查看答案和解析>>
科目:
来源:2006-2007学年广东省佛山市高明区九年级(上)期末化学试卷(解析版)
题型:填空题
阅读下列材料,填写下列空格:
①我国计划使用“长征三号甲”运载火箭将“嫦娥Ⅰ号”送上月球,任务之一是开采月球上丰富的氦一3(质子数为2,中子数为1的原子)这一清洁能源;
②2007年6月起我市家庭厨房中使用的煤气将被“南海海底”工程送来的天然气所替代.
(1)该运载火箭的动力是由高氯酸铵(NH
4C1O
4)分解所提供的,完成其分解的化学方程式:2NH
4ClO
4
N
2↑+Cl
2↑+4
+2O
2↑
(2)氦-3原子的结构示意图为
(填序号);
A.

B.

C.

D.

(3)天然气的主要成分是甲烷,甲烷燃烧的化学方程式为
;列举一项天然气取代煤气作为燃料的优点:
.
查看答案和解析>>
科目:
来源:2006-2007学年广东省佛山市高明区九年级(上)期末化学试卷(解析版)
题型:填空题
请用化学用语(化学式、离子符号、化学方程式等)各举一例说明下表中的错误认识.(所举例子不能重复)
| 错误认识 | 证明其错误的例子(用化学用语表示) |
| (1)含氧化合物一定是氧化物 | |
| (2)最外层电子数为8的粒子一定是稀有气体的原子 | |
| (3)置换反应一定在溶液中进行 | |
(1)
;(2)
;(3)
.
查看答案和解析>>
科目:
来源:2006-2007学年广东省佛山市高明区九年级(上)期末化学试卷(解析版)
题型:填空题
CO2和O2是自然界中生命活动不可缺少的两种气体,从化学的角度写一点它们的相同点: ;大气中若排放CO2过多会引起 效应.潮湿的空气因含有O2会使铁器 .可见任何物质都有其有利的一面,同时也有其不利的一面.
查看答案和解析>>
科目:
来源:2006-2007学年广东省佛山市高明区九年级(上)期末化学试卷(解析版)
题型:填空题
小亮同学从西江河畔取100mL浑浊的河水装在小烧杯中,然后加入几粒明矾搅拌,静置后,观察到的现象是 .若再采用过滤的方法净化上述小烧杯中的河水,需要的仪器除了玻璃棒和铁架台(带铁圈)外,还要 (填编号). ①漏斗 ②天平 ③烧杯 ④酒精灯.
查看答案和解析>>
科目:
来源:2006-2007学年广东省佛山市高明区九年级(上)期末化学试卷(解析版)
题型:填空题
让我们和小亮一起走进化学实验室,共同来学习科学探究的方法.
小亮在实验室用一小块生铁与稀盐酸反应,观察到生铁表面出现 ,同时发现反应后的液体中有少量黑色不溶物.
提出问题:这种黑色不溶物是什么呢?
猜想与假设:这种黑色不溶物中可能含碳.
设计方案:将黑色固体灼烧,如果黑色固体中含有碳,就会有 气体生成,要想进一步确定这种气体,可以用 来检验.
进行实验:小亮按设计方案进行实验,得到了预想的结果.
解释与结论:由此小亮得出结论:
(1)生铁中 碳(填“含”或“不含”);
(2)碳与稀盐酸 反应(填“能”或“不能”),铁与稀盐酸 反应(填“能”或“不能”).
查看答案和解析>>
科目:
来源:2006-2007学年广东省佛山市高明区九年级(上)期末化学试卷(解析版)
题型:解答题
学习化学可以使你变得更聪明,可以帮你解释生活中的许多问题.
(1)我国古代用墨写的字虽年深日久仍不变色,其原因是 ______;
(2)潜水艇中需要配备氧气再生装置,利用的是过氧化钠(Na2O2)与二氧化碳反应生成碳酸钠和氧气,该反应的化学方为 ______.
(3)要使煤炉中煤燃烧得更旺,可以将煤粉碎,也可以鼓入空气,请你用学过的知识加以解释 ______.
(4)在商店购买灯泡时,灯丝支架上附有少量的红色物质--红磷.其作用是:______.
查看答案和解析>>
科目:
来源:2006-2007学年广东省佛山市高明区九年级(上)期末化学试卷(解析版)
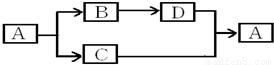
题型:解答题
A-D都是你学过的常见物质,且有如下图所示转化关系(反应条件、其他反应物及其他生成物均已略去),以下是两位同学的解题过程,请你帮他们完成.

(1)小高认为A为CaCO
3,那么B为______;C为______;D为______.(填写出化学式,下同)
(2)小明认为A为H
2O,那么B为______;C为______;D为______.
查看答案和解析>>