相关习题
0 71404 71412 71418 71422 71428 71430 71434 71440 71442 71448 71454 71458 71460 71464 71470 71472 71478 71482 71484 71488 71490 71494 71496 71498 71499 71500 71502 71503 71504 71506 71508 71512 71514 71518 71520 71524 71530 71532 71538 71542 71544 71548 71554 71560 71562 71568 71572 71574 71580 71584 71590 71598 211419
科目:
来源:2012-2013学年江西省景德镇市乐平市浯口中学九年级(上)第二次月考化学试卷(解析版)
题型:填空题
下列做法对人类的生存环境会造成危害的是
A.工业废水.生活污水经污水处理厂集中处理后再排放;B.农业上为了提高粮食产量,解决粮食危机而大量使用农药和化肥;
C.不随意丢弃废旧电池;D. .
查看答案和解析>>
科目:
来源:2012-2013学年江西省景德镇市乐平市浯口中学九年级(上)第二次月考化学试卷(解析版)
题型:填空题
用适合的数字和元素符号填空
①三个钠离子 ;②两个氧原子 ;③一个氢分子 ;④铜元素 ;⑤地壳中含量最高的金属元素是 ;⑥水银 .
查看答案和解析>>
科目:
来源:2012-2013学年江西省景德镇市乐平市浯口中学九年级(上)第二次月考化学试卷(解析版)
题型:填空题
以下物质:①氧气;②蒸馏水;③新鲜的空气;④铜片;⑤五氧化二磷;⑥高锰酸钾;⑦自来水;⑧过氧化氢;⑨加热氯酸钾和二氧化锰制氧气的剩余固体,其中:
(1)属于混合物的有 ;
(2)属于纯净物的有 ;
(3)属于单质的有 ;
(4)属于化合物的有 ;
(5)属于氧化物的有 .
查看答案和解析>>
科目:
来源:2012-2013学年江西省景德镇市乐平市浯口中学九年级(上)第二次月考化学试卷(解析版)
题型:填空题
下面是部分元素原子或离子的结构示意图.请你仔细观察、分析,然后回答问题

(1)上述粒子中,属于同一种元素的是
(填序号,下同),属于阳离子的是
.
(2)电子层数相同,最外层电子数也相同的粒子有
.
(3)能与①形成AB
4型分子的是
.
查看答案和解析>>
科目:
来源:2012-2013学年江西省景德镇市乐平市浯口中学九年级(上)第二次月考化学试卷(解析版)
题型:解答题
某自来水厂用源水处理成自来水的流程如下:

(1)加入活性炭的作用是______;在乡村没有活性炭,常加入______来净水.
(2)实验室中,静置、吸附、过滤、蒸馏等操作中可以降低水硬度的是______.
查看答案和解析>>
科目:
来源:2012-2013学年江西省景德镇市乐平市浯口中学九年级(上)第二次月考化学试卷(解析版)
题型:填空题
如图是电解水的示意图.
(1)写出试管A、B内收集到的气体名称:A内气体是
,连接蓄电池的
极,B内气体是
,连接蓄电池的
极.
(2)该反应能得出的结论是
;该反应的文字表达式为
.

查看答案和解析>>
科目:
来源:2012-2013学年江西省景德镇市乐平市浯口中学九年级(上)第二次月考化学试卷(解析版)
题型:填空题
写出符合下列要求的化学反应文字表达式
①有二氧化碳生成的化合反应
;
②有水生成的分解反应
;
③有剧烈燃烧、火星四射现象发生的反应
.

查看答案和解析>>
科目:
来源:2012-2013学年江西省景德镇市乐平市浯口中学九年级(上)第二次月考化学试卷(解析版)
题型:解答题
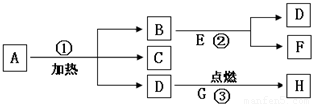
A、B…H八种物质,有下图所示关系:其中A是一种暗紫色固体,B、G都是黑色固体,D能使带火星的木条复燃,E是一种无色液体,H是一种能使澄清石灰水变浑浊的气体,在②的反应前后B的质量和化学性质都不改变.
试推断:

(1)写出下列物质的化学式:
A______、B______、D______、E______、G______、H______
(2)写出反应①②③的文字表达式,并指出①③反应的基本类型:
①______
查看答案和解析>>
科目:
来源:2012-2013学年江西省景德镇市乐平市浯口中学九年级(上)第二次月考化学试卷(解析版)
题型:解答题
根据如图实验装置回答问题

(1)写出标有序号的仪器的名称①______ ②______;
(2)实验室中小明用过氧化氢溶液和二氧化锰固体混合制取氧气,发生装置应选______(填序号,下同),发生反应的文字表达式为______
查看答案和解析>>
科目:
来源:2012-2013学年江西省景德镇市乐平市浯口中学九年级(上)第二次月考化学试卷(解析版)
题型:解答题
过滤是一种净水的方法,利用过滤的方法,可将不溶于水的固体杂质与水分离开来.如如图是过滤操作示意图,请指出错误,并加以改正.
| 错误之处 | 改正方法 |
| ______ | ______ |
| ______ | ______ |
| ______ | ______ |
若在实验中改正了以上错误后,过滤得到的滤液仍浑浊,请写出一点可能的原因______.

查看答案和解析>>