相关习题
0 71942 71950 71956 71960 71966 71968 71972 71978 71980 71986 71992 71996 71998 72002 72008 72010 72016 72020 72022 72026 72028 72032 72034 72036 72037 72038 72040 72041 72042 72044 72046 72050 72052 72056 72058 72062 72068 72070 72076 72080 72082 72086 72092 72098 72100 72106 72110 72112 72118 72122 72128 72136 211419
科目:
来源:2012-2013学年新人教版九年级(上)期末化学模拟试卷(14)(解析版)
题型:解答题
提供以下信息:
①纯净的氮气是没有颜色、没有气味的气体.
②在放电条件下,氮气跟氧气能直接化合生成无色的一氧化氮气体.
③一氧化氮不溶于水,在常温下易跟空气中氧气化合,生成红棕色的二氧化氮气体.
④二氧化氮有毒,易溶于水.它溶于水后生成硝酸(HNO3)和一氧化氮.
⑤生成的硝酸随雨水洒到大地上,同土壤中的矿物质互相作用,形成可溶性氮肥.
根据以上信息,填写下列空白:
(1)短文中叙述氮气物理性质的句子______(填序号);
(2)实验室收集一氧化氮气体,应用______法收集;
(3)写出二氧化氮与水作用的化学方程式______;
(4)“雷雨发庄稼”的意思是雷雨过后,土壤中的养分增多了,有利于植物的生长,
其原因是______(填序号).
查看答案和解析>>
科目:
来源:2012-2013学年新人教版九年级(上)期末化学模拟试卷(14)(解析版)
题型:解答题
下表是某城市居民常用的气体燃料价格和热值,通过分析回答下列问题:
| 燃料 | 价格 | 热值 |
| 煤气 | 1.25元/㎏ | 1.56×107kJ/㎏ |
| 石油液化气 | 2.50元/㎏ | 4.5×107kJ/㎏ |
| 天然气 | 1.4元/㎏ | 3.9×107kJ/㎏ |
(1)从经济角度考虑,选哪种燃料更适合?______;原因是______.
(2)实验证明:同温同压下,相同体积的任何气体中会有相同的分子数.据此结论回答
问题:
①将同体积的CO和CH
4混合,所得混合气体中C、H、O元素的原子个数比为______,C、H元素质量比为______.
②分别写出CO和CH
4燃烧的化学方程式:______.2CO
2
查看答案和解析>>
科目:
来源:2012-2013学年新人教版九年级(上)期末化学模拟试卷(14)(解析版)
题型:解答题
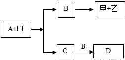
已知A、B、C、D是四种化合物,甲、乙是两种单质;A是含碳化合物;A的相对分子质量小于20,B是相对分子质量最小的氧化物.在一定条件下,它们之间存在如下转化关系:
(1)写出A、C、甲、乙四种物质的化学式.
A______;C______;甲______;乙______;
(2)写出物质C与B反应生成D的化学方程式:______.

查看答案和解析>>
科目:
来源:2012-2013学年新人教版九年级(上)期末化学模拟试卷(14)(解析版)
题型:解答题

某同学在家里用纯碱和醋酸(含有3%~5%的醋酸)制取二氧化碳并验证其性质(如右图所示).他先将一支蜡烛固定在玻璃杯的底部,再在杯里放入一些纯碱.然后点燃蜡烛,沿杯壁缓缓倒入一定量的醋酸,推测在反应过程中他能观察到的现象.
(1)现象①______,②______.
(2)用______和______代替纯碱和醋酸,使现象与(1)中蜡烛产生的现象相反,其反应的化学方程式______ 2H
2O+O
2↑
查看答案和解析>>
科目:
来源:2012-2013学年新人教版九年级(上)期末化学模拟试卷(14)(解析版)
题型:解答题
根据下图所示实验装置回答问题:
(1)小明同学选择A装置准备用高锰酸钾为原料制取一瓶纯净的氧气(不考虑水蒸气),他应选择的收集装置是______(填字母),写出该方法制取氧气的化学反应方程式______ K2MnO4+MnO2+O2↑
查看答案和解析>>
科目:
来源:2012-2013学年新人教版九年级(上)期末化学模拟试卷(14)(解析版)
题型:填空题
北京奥运场馆的建设中,外墙体将大量采用新型塑料膜材料ETFE,[ETFE的化学名称为聚氟乙烯,化学式为(C2H2F2)n],这种材料美观、耐用,且无须清理维护,可以使用15至20年.试回答下列问题:
(1)ETFE由 种元素组成;ETFE中C、H、F元素的质量比为 .
(2)ETFE中碳元素的质量分数为 .(保留一位小数)
查看答案和解析>>
科目:
来源:2012-2013学年新人教版九年级(上)期末化学模拟试卷(14)(解析版)
题型:解答题

右图为“XX”钙片商品标签图,请根据标签的有关信息完成下列各题.
(1)每片钙片中至少含钙元素的质量为______g.
(2)小花同学为测定其碳酸钙的含量标注是否属实,她取出10片钙片,研碎后放入小烧杯中,逐滴加入稀盐酸,至不再放出气体为止,共用去稀盐酸30g,称量小烧杯中剩余物质的质量是43.4g(不含烧杯质量,假定钙片其它成分不与盐酸反应).
①生成的二氧化碳的质量为______g.
②通过计算判断该钙片中碳酸钙的含量标注是否属实.
查看答案和解析>>
科目:
来源:2012-2013学年北京六十六中九年级(上)第一次月考化学试卷(解析版)
题型:选择题
空气成分中,体积分数约占78%的是( )
A.氧气
B.氮气
C.二氧化碳
D.稀有气体
查看答案和解析>>
科目:
来源:2012-2013学年北京六十六中九年级(上)第一次月考化学试卷(解析版)
题型:选择题
下列物质中,属于纯净物的是( )
A.矿泉水
B.氢气
C.食醋
D.牛奶
查看答案和解析>>
科目:
来源:2012-2013学年北京六十六中九年级(上)第一次月考化学试卷(解析版)
题型:选择题
生活中的下列变化,属于化学变化的是( )
A.冰块受热变为液体
B.熨斗通电后变热
C.吃进的食物被消化
D.樟脑球在衣柜中消失
查看答案和解析>>