相关习题
 0  71997  72005  72011  72015  72021  72023  72027  72033  72035  72041  72047  72051  72053  72057  72063  72065  72071  72075  72077  72081  72083  72087  72089  72091  72092  72093  72095  72096  72097  72099  72101  72105  72107  72111  72113  72117  72123  72125  72131  72135  72137  72141  72147  72153  72155  72161  72165  72167  72173  72177  72183  72191  211419 

科目: 来源:2012-2013学年新人教版九年级(上)期末化学模拟试卷(13)(解析版) 题型:选择题

下列化学用语中,正确的是( )
A.2个碳酸根离子:2CO32-
B.氧化铝:AlO
C.2H2O的相对分子质量之和为20
D.+2价的镁元素:Mg2+

查看答案和解析>>

科目: 来源:2012-2013学年新人教版九年级(上)期末化学模拟试卷(13)(解析版) 题型:选择题

肉毒碱(化学式为C7H15NO3)是一种人体必需的营养物质,又名维生素Bt.下列关于肉毒碱的说法中,不正确的是( )
A.C7H15NO3是一种有机化合物
B.1个肉毒碱分子含有26个原子
C.肉毒碱由碳、氢、氮、氧四种元素组成
D.肉毒碱中碳和氧两种元素的质量比为7:3

查看答案和解析>>

科目: 来源:2012-2013学年新人教版九年级(上)期末化学模拟试卷(13)(解析版) 题型:选择题

小明用向上排空气法收集一瓶氧气,并用该瓶氧气做铁丝燃烧的实验,结果未观察到“燃烧”和“火星四射”的现象.下列说法中,与该实验失败原因无关的是( )
A.所用铁丝较粗
B.氧气没有收集满,纯度较低
C.温度未达到铁丝的着火点
D.集气瓶底部没有预先铺一层细砂

查看答案和解析>>

科目: 来源:2012-2013学年新人教版九年级(上)期末化学模拟试卷(13)(解析版) 题型:选择题

如图1是元素周期表中铝元素的部分信息,如图2是铝原子的结构示意图.下列说法中,不正确的是( )

A.铝原子的质子数为13
B.铝的相对原子质量为26.98g
C.铝原子的核外电子分三层排布
D.铝元素的化学性质与铝原子的最外层电子数有密切的关系

查看答案和解析>>

科目: 来源:2012-2013学年新人教版九年级(上)期末化学模拟试卷(13)(解析版) 题型:选择题

空气中部分氧气在闪电时可转化为臭氧(O3).下列说法中,正确的是( )
A.O2转化为O3是物理变化
B.O2和O3的化学性质相同
C.O2和O3混合得到的物质是纯净物
D.等质量的O2和O3含有的氧原子个数之比是1:1

查看答案和解析>>

科目: 来源:2012-2013学年新人教版九年级(上)期末化学模拟试卷(13)(解析版) 题型:填空题

回答下列问题.
(1)如表是某品牌方便面的营养成分,请回答:
方便面营养成分表(每100g中含量)
糖类(g)脂肪(g)蛋白质(g)水分(g)钠(mg)钾(mg)磷(mg)钙(mg)其他
61.621.19.53.611441348025
从表中所给信息判断该品牌方便面所含的营养素主要有    、蛋白质、油脂、无机盐和水;有些青少年由于摄入维生素不足而引起生长发育迟缓,为增加维生素,建议应该多吃   
(2)北京奥运“祥云”火炬设计有回热管,即用铝箔将铜棒贴在燃料筒外侧,使火炬上下的热量能够交流,这主要是利用了金属铜的    性.
(3)奥运主火炬的燃料是天然气,其主要成分的化学式为    .火炬燃烧了16天后在15s内熄灭了,熄灭火炬时,为吹熄余火,需向管道内吹入一定量的    (填字母).
A.氧气B.空气C.氮气D.氢气
(4)北京奥运会场馆“鸟巢”的主结构为钢结构.为防止钢铁生锈,可采取的方法之一是    ;工业上冶炼铁的原理之一是用一氧化碳还原氧化铁,该反应的化学方程式为   

查看答案和解析>>

科目: 来源:2012-2013学年新人教版九年级(上)期末化学模拟试卷(13)(解析版) 题型:填空题

下面是金属钠与水反应的实验记录,请仔细阅读后回答下列问题.
从煤油中取出一块金属钠,用滤纸吸干净表面的煤油后,用小刀切下一小块.切口呈现银白色的金属光泽,但光泽迅速消失、变暗,原因是钠与空气中的氧气迅速反应.将这小块钠投入水中,钠浮于水面,剧烈反应,急速游动,并熔成一个闪亮的小球,逐渐缩小,最后完全消失.
(1)钠具有的物理性质有    (最少答两点).
(2)钠与水反应(2Na+2H2O=2NaOH+H2↑)的基本反应类型为    反应.
(3)金属钠通常保存在煤油中,原因是金属钠易与    发生反应.
(4)根据实验记录和你学习过的知识判断,钠和铁两种金属    更活泼.

查看答案和解析>>

科目: 来源:2012-2013学年新人教版九年级(上)期末化学模拟试卷(13)(解析版) 题型:填空题

下列示意图①~③中,“●”表示氢原子,“”表示氧原子.

(1)表示化合物的是    (填序号),③中分子所代表的物质是如图中    (填字母)试管中产生的气体,图中A连接电源的    (填“正极”或“负极”).该反应的化学方程式为   
(2)请从微观角度解释质量守恒的原因:   

查看答案和解析>>

科目: 来源:2012-2013学年新人教版九年级(上)期末化学模拟试卷(13)(解析版) 题型:填空题

回答下列问题.
(1)如图所示,将铁盒中的酒精点燃后放入盛有冰水的烧杯中,酒精的火焰逐渐熄灭,其原因是   
(2)高锰酸钾可用来生火.将一份砂糖和两份高锰酸钾混合,夹在两片干木材中研磨,若天气干燥,摩擦约30 s木片燃烧起来.上述过程中,高锰酸钾的作用是   
(3)古人类钻木生火时常放一些干毛草,这是因为   
(4)用火柴点一张纸和同样纸的纸团,纸比纸团易燃,原因是   
(5)如图所示,某化学实验小组在探究物质燃烧条件时,在一个集气瓶(气密性良好,胶塞上固定一打磨过的铁钉)内燃烧小蜡烛,火焰一会儿熄灭了.火焰熄灭的原因之一可能是    .将反应后的装置密封放置数天后,发现铁钉表面出现了锈迹,说明瓶内有    ,它们的来源是   

查看答案和解析>>

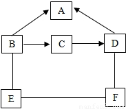
科目: 来源:2012-2013学年新人教版九年级(上)期末化学模拟试卷(13)(解析版) 题型:填空题

如图所示,已知A、B、C、D、E、F是初中化学常见的六种物质.D、E为单质,其余为化合物.其中B由三种元素组成,且三种元素质量比为10:3:12.(图中“-”表示两端的物质;“→”表示物质间存在转化关系).
(1)试判断下列物质的化学式:B    ;C    ;D   
(2)写出下列反应的化学方程式:D→A   
F+E   

查看答案和解析>>

同步练习册答案