相关习题
 0  72016  72024  72030  72034  72040  72042  72046  72052  72054  72060  72066  72070  72072  72076  72082  72084  72090  72094  72096  72100  72102  72106  72108  72110  72111  72112  72114  72115  72116  72118  72120  72124  72126  72130  72132  72136  72142  72144  72150  72154  72156  72160  72166  72172  72174  72180  72184  72186  72192  72196  72202  72210  211419 

科目: 来源:2011-2012学年广东省揭阳市普宁市九年级(上)化学竞赛试卷(解析版) 题型:选择题

节能减排、低碳出行是我们倡导的生活方式,“低碳”指的是尽量减少二氧化碳的排放.下列有关二氧化碳的说法正确的是( )
A.二氧化碳通人紫色石蕊溶液,溶液变为红色,说明二氧化碳具有酸性
B.二氧化碳的过度排放会加剧温室效应,因此应禁止使用化石燃料
C.二氧化碳和一氧化碳的组成元素相同,在一定条件下可以相互转化
D.进入久未开启的菜窖之前,必须做灯火试验,是因为二氧化碳有毒

查看答案和解析>>

科目: 来源:2011-2012学年广东省揭阳市普宁市九年级(上)化学竞赛试卷(解析版) 题型:选择题

下图为某反应的部分微观示意图,其中不同的球代表不同种原子.下列说法正确的是( )

A.该反应属于置换反应
B.1个X分子中有3个原子
C.反应物中分子的个数比为1:1
D.的化合价在反应前后未改变

查看答案和解析>>

科目: 来源:2011-2012学年广东省揭阳市普宁市九年级(上)化学竞赛试卷(解析版) 题型:选择题

小林和小明同学在学习合作中讨论:相同质量的下列物质分别在氧气中完全燃烧,哪种物质消耗氧气最多?请你也参与他们的讨论,你认为消耗氧气最多的物质是( )
A.C
B.H2
C.Fe
D.P

查看答案和解析>>

科目: 来源:2011-2012学年广东省揭阳市普宁市九年级(上)化学竞赛试卷(解析版) 题型:填空题

用化学符号表示下列意义:
(1)3个铝离子    .(2)氯化亚铁中铁显+2价   

查看答案和解析>>

科目: 来源:2011-2012学年广东省揭阳市普宁市九年级(上)化学竞赛试卷(解析版) 题型:填空题

有以下几种物质:①氧气;②人呼出的气体;③五氧化二磷;④空气中的稀有气体;⑤二氧化碳;⑥新鲜的空气;
(1)其中属于纯净物的是   
(2)请选出一种混合物并分析其中的成分   
(3)请再举出生活中常见的一种混合物   

查看答案和解析>>

科目: 来源:2011-2012学年广东省揭阳市普宁市九年级(上)化学竞赛试卷(解析版) 题型:填空题

下图中,1是两种元素在元素周期表中的信息,2 是氟原子的原子结构示意图.

( 1 )图1方框的横线上填的是    ;图2方框横线上的数字是   
( 2 )钠元素属于    (填“金属”或“非金属”)元素;图1所示两种元素形成化合物的化学式为   

查看答案和解析>>

科目: 来源:2011-2012学年广东省揭阳市普宁市九年级(上)化学竞赛试卷(解析版) 题型:填空题

氢化钠(NaH)与水反应的化学方程式为NaH+H2O=NaOH+H2↑.CaH2与NaH的化学性质相似.用化学方程式表示CaH2与水发生的化学反应:   

查看答案和解析>>

科目: 来源:2011-2012学年广东省揭阳市普宁市九年级(上)化学竞赛试卷(解析版) 题型:填空题

联合国决定2011年为“国际化学年”,其活动主题为“化学--我们的生活,我们的未来”.
(1)化学--使生活丰富多彩.新型锂离子电池在新能源的开发中占有重要地位,已知锂原子(Li)的结构示意图为,则锂离子的符号为   
(2)化学--为健康保驾护航,超超奶奶骨质疏松,医生建议奶奶服用含葡萄糖酸钙[Ca(C6H11O72]的补钙剂.则葡萄糖酸钙中所含碳氢元素质量比为   
(3)化学--让未来充满希望,纳米材料石墨烯可能帮助科学家实现修建太空天梯的构想.石墨烯由碳原子构成,请推测石墨烯可能具有的一条化学性质   

查看答案和解析>>

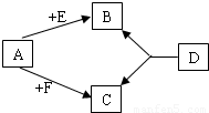
科目: 来源:2011-2012学年广东省揭阳市普宁市九年级(上)化学竞赛试卷(解析版) 题型:解答题

已知A、E、F是单质,B、C、D是化合物,它们分别是由碳、氢、氧三种元素中的一种或者几种组成.其中B是相对分子质量最小的氧化物,D物质很不稳定,容易分解生成B和C,它们之间的转化关系如图所示.

(1)则A、E的化学式为A______,E______.
(2)请你写出以下变化的化学方程式:A+F→C______ CO2

查看答案和解析>>

科目: 来源:2011-2012学年广东省揭阳市普宁市九年级(上)化学竞赛试卷(解析版) 题型:解答题

小明同学家在农村,为了解决饮水的问题,最近打了一口井,请你帮助小明对这口井里的水进行探究:
(1)小明取了一杯水样,发现有些浑浊,于是他向其中加了少量的明矾,用筷子搅拌溶解,静置一段时间后,观察到的现象是______.
(2)小明用肥皂粉洗衣服时发现泡沫很少,且有浮渣出现,衣服不易洗干净,说明这种水是______(填“硬水”或“软水”),为了降低水的硬度,可采用的方法是______.
(3)为了喝到放心水,小明的父亲买来了一台活性炭净水器,其中加入的活性炭的作用是:______.

查看答案和解析>>

同步练习册答案