相关习题
 0  72553  72561  72567  72571  72577  72579  72583  72589  72591  72597  72603  72607  72609  72613  72619  72621  72627  72631  72633  72637  72639  72643  72645  72647  72648  72649  72651  72652  72653  72655  72657  72661  72663  72667  72669  72673  72679  72681  72687  72691  72693  72697  72703  72709  72711  72717  72721  72723  72729  72733  72739  72747  211419 

科目: 来源:2011-2012学年贵州省毕节地区威宁县保家中学九年级(上)期末化学试卷(解析版) 题型:填空题

按要求完成以下化学方程式:
(1)放热反应:   
(2)属于化合反应的一个化学方程式:   
(3)肼(N2H4)和一氧化氮(NO)燃烧反应产生的能量可以作为火箭发射的动力,反应后生成两种物质,其中一种是空气中含量最多的气体,另一种是植物光合作用的原料之一.则反应的化学方程式为   

查看答案和解析>>

科目: 来源:2011-2012学年贵州省毕节地区威宁县保家中学九年级(上)期末化学试卷(解析版) 题型:填空题

开展污染源普查是了解环境状况的重要手段,沙洋县积极参加了全国第一次污染源普查工作.
(1)普查对象为工业污染源、农业污染源和    污染源及集中式污染治理措施等;
(2)为改善汉江的水体质量,防止水的污染,你能够做些什么?(回答一点):   
(3)最近,国务院颁布了“节能减排”方案,作为中学生,我们应该有节能的意识,从身边的小事做起.请你提出一条具体的节能建议   

查看答案和解析>>

科目: 来源:2011-2012学年贵州省毕节地区威宁县保家中学九年级(上)期末化学试卷(解析版) 题型:填空题

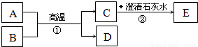
已知A为黑色粉末,B为单质,D为红色单质.A、B、C、D、E五种物质之间的转化关系如图所示.
请回答:
(1)写出下列物质的化学式:A:    C:   
(2)写一种由B元素组成的单质的名称:   
(3)反应①的化学方程式为   
该反应的基本类型是:    .(填①分解反应 ②化合反应 ③置换反应)
(4)反应②的化学方程式为   

查看答案和解析>>

科目: 来源:2011-2012学年贵州省毕节地区威宁县保家中学九年级(上)期末化学试卷(解析版) 题型:解答题

某化学课外活动小组进行了一系列的实验探究,请按要求回答:

(1)写出图中标有①、②的仪器名称:①______②______.
(2)小强想用高锰酸钾制取纯净的氧气,他应选择上述装置中的______和______(填字母)进行组装.你认为A装置中还缺少______.该反应的化学方程式为______ K2MnO4+MnO2+O2↑,

查看答案和解析>>

科目: 来源:2011-2012学年贵州省毕节地区威宁县保家中学九年级(上)期末化学试卷(解析版) 题型:填空题

某小组同学在协助老师整理化学试剂时,发现一瓶标签残缺的无色液体(如图)(温馨提示:标签上的5%表示该混合物中主要成分所占的质量分数).他们对此瓶无色液体是什么产生了兴趣,于是进行了如下探究.
【大胆猜想】猜想一:水   猜想二:稀硫酸    猜想三:过氧化氢溶液
小组同学对标签又进行了仔细的观察、分析,他们一致认为猜想一不合理.理由是   
【设计方案】同学们结合所学知识设计出如下探究方案:
向盛有少量二氧化锰的试管中加入适量的该液体,并将带火星的木条放在试管口.
【实验与事实】按上述方案进行实验,发现有大量气泡产生,带火星的木条复燃.
【结论与解释】(1)以上事实证明猜想    是正确的;
(2)产生气体的反应可用化学方程式表示为   
【反思与评价】(1)在实验中,某同学提出应该先将气体收集,然后用带火星的木条检验,你认为    (填“有”或“没有”)必要.
(2)为避免在今后的实验中出现标签残缺的情况,在倾倒液体时应注意   
【拓展与迁移】根据探究结果,重新贴好标签.标签上化学式中氧元素的化合价为    价(已知氢元素显+1价).

查看答案和解析>>

科目: 来源:2011-2012学年贵州省毕节地区威宁县保家中学九年级(上)期末化学试卷(解析版) 题型:填空题

锌是人体健康必需的元素,锌缺乏容易造成发育障碍,易患异食癖等病症,使人体免疫功能低下.市售的葡萄糖酸锌口服液对治疗锌缺乏症具有较好的疗效.下图是某品牌葡萄糖酸锌口服液的标签,请根据标签信息回答:
(1)葡萄糖酸锌的相对分子质量   
(2)葡萄糖酸锌中锌元素的质量分数为    .(精确到0.1%)

查看答案和解析>>

科目: 来源:2011-2012学年贵州省毕节地区威宁县保家中学九年级(上)期末化学试卷(解析版) 题型:解答题

工业上用电解氯化镁的方法生产金属镁,MgCl2Mg+Cl2↑.问:电解950kg氯化镁至多能生产多少千克金属?同时能得到多少千克氯气?

查看答案和解析>>

科目: 来源:2008-2009学年湖南省衡阳市衡南县鸡笼中学九年级(上)期末化学试卷(解析版) 题型:选择题

果汁的成分有蔗糖、柠檬酸、苯甲酸钠、橙汁等物质,则果汁属于( )
A.化合物
B.单质
C.混合物
D.纯净物

查看答案和解析>>

科目: 来源:2008-2009学年湖南省衡阳市衡南县鸡笼中学九年级(上)期末化学试卷(解析版) 题型:选择题

决定元素种类的是原子的( )
A.质子数
B.中子数
C.电子数
D.相对原子质量

查看答案和解析>>

科目: 来源:2008-2009学年湖南省衡阳市衡南县鸡笼中学九年级(上)期末化学试卷(解析版) 题型:选择题

下列是日常生活中常发生的一些变化,其中都属于化学变化的一组是( )
A.水受热沸腾、酒精燃烧
B.剩饭变馊、铁锅生锈
C.汽油挥发、动物的呼吸作用
D.玻璃破碎、西瓜榨成汁

查看答案和解析>>

同步练习册答案