相关习题
 0  72923  72931  72937  72941  72947  72949  72953  72959  72961  72967  72973  72977  72979  72983  72989  72991  72997  73001  73003  73007  73009  73013  73015  73017  73018  73019  73021  73022  73023  73025  73027  73031  73033  73037  73039  73043  73049  73051  73057  73061  73063  73067  73073  73079  73081  73087  73091  73093  73099  73103  73109  73117  211419 

科目: 来源:2011-2012学年江西省南昌十九中九年级(下)第四次月考化学试卷(解析版) 题型:解答题

如图为A、B、C三种物质的溶解度曲线,据图回答:
(1)t2℃时,A、B、C三种物质的溶解度由大到小顺序是______.
(2)将t2℃时三种物质等质量的饱和溶液分别降
温到0°C时,析出溶质最多的是______,无溶质析出的是______.
(3)20℃时,将30g A物质放入50g水中,充分搅拌,所得溶液的质量是______g.
(4)若将t1C三种物质的饱和溶液分别升温到t2C时,则三种溶液中溶质的质量分数由大到小的顺序是______.

查看答案和解析>>

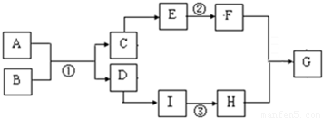
科目: 来源:2011-2012学年江西省南昌十九中九年级(下)第四次月考化学试卷(解析版) 题型:解答题

A~I都是初中化学常见物质,已知,D是应用最广泛的金属,E是建筑材料的主要成分,H是实验室最常用的溶剂,它们的转化关系如图所示,请回答:

(1)G物质的化学式是______,物质C的一种用途______;
(2)反应①的化学方程式为______ 2Fe+3CO2

查看答案和解析>>

科目: 来源:2011-2012学年江西省南昌十九中九年级(下)第四次月考化学试卷(解析版) 题型:解答题

小雨要用100 g质量分数为10%的氢氧化钠溶液来制作“叶脉书签”.下图是她配制氢氧化钠溶液的实验操作示意图.
(1)写出图中两种玻璃仪器的名称:______、______.
(2)量取所需要的水应选择______(选填“10 mL”、“50 mL”或“100 mL”)量筒.
(3)指出图中的一处操作错误:______.按上述操作配制的溶液溶质质量分数将______(填“偏大”或“偏小”或“不变”).
(4)用上述图示的序号表示配制溶液的操作顺序:______.
(5)配好的氢氧化钠溶液由于没有及时装入试剂瓶,造成变质,此反应的化学方程式为______.

查看答案和解析>>

科目: 来源:2011-2012学年江西省南昌十九中九年级(下)第四次月考化学试卷(解析版) 题型:解答题

小明发现家中一枚戒指生满了铜绿,他和同学利用这枚戒指展开了研究性学习.
[查阅资料]真金在空气中不会生锈,生满铜绿的“金戒指”材质为铜锌合金;
铜长期露置在潮湿的空气中能生成铜绿,其主要成分是碱式碳酸铜,碱式碳酸铜受热易分解生成CuO、H2O和CO2.据上述资料可推知,碱式碳酸铜由______种元素组成.
[实验探究]将该枚戒指加入过量稀盐酸中,有气泡产生,溶液由无色逐渐变为蓝色.
(1)小明认为:气体中除了含有CO2,还可能含有少量______.
(2)小红认为蓝色溶液中的溶质只有氯化锌.小华认为溶液中的溶质除了氯化锌外,还应该含有______.他取适量上述蓝色溶液,加入光亮的铁片,观察到了现象:______,证实了自己的观点.
(3)[实验探究]中涉及的一个复分解反应方程式为______.

查看答案和解析>>

科目: 来源:2011-2012学年江西省南昌十九中九年级(下)第四次月考化学试卷(解析版) 题型:解答题

为了测定某地石灰石中碳酸钙的质量分数,取7.5g样品放入烧杯,加入稀盐酸至不再产生气体,生成CO2气体的质量与滴加稀盐酸的质量关系如图所示(石灰石中的杂质均不溶于水且不与盐酸反应).
(1)CO2的质量为______g.
(2)计算石灰石中碳酸钙的质量分数______.
(3)计算恰好完全反应后所得溶液中溶质的质量分数.

查看答案和解析>>

科目: 来源:2011-2012学年山东省聊城市东阿县黄屯中学九年级(上)期末化学试卷(17)(解析版) 题型:选择题

空气的成分中体积分数大约为21%的是( )
A.氮气
B.氧气
C.二氧化碳
D.稀有气体

查看答案和解析>>

科目: 来源:2011-2012学年山东省聊城市东阿县黄屯中学九年级(上)期末化学试卷(17)(解析版) 题型:选择题

水是生命的源泉,是人类宝贵的资源.它有时能幻作朵朵白云,有时能化为绵绵细雨.下列过程中,你认为水分子发生了变化的是( )
A.水蒸气遇冷凝结成水
B.水通电变成氢气和氧气
C.蔗糖和水混合后得到糖水
D.多级闪急蒸馏法淡化海水

查看答案和解析>>

科目: 来源:2011-2012学年山东省聊城市东阿县黄屯中学九年级(上)期末化学试卷(17)(解析版) 题型:选择题

下列物质中,不属于溶液的是( )
A.啤酒
B.矿泉水
C.汽水
D.液氧

查看答案和解析>>

科目: 来源:2011-2012学年山东省聊城市东阿县黄屯中学九年级(上)期末化学试卷(17)(解析版) 题型:选择题

古人曾有赞美菊花的诗句“冲天香阵透长安”.浓郁的花香遍布长安的原因是( )
A.分子的质量很小
B.分子间有间隔
C.分子在不断运动
D.分子由原子构成

查看答案和解析>>

科目: 来源:2011-2012学年山东省聊城市东阿县黄屯中学九年级(上)期末化学试卷(17)(解析版) 题型:选择题

下列实验操作错误的是( )
A.
    熄灭酒精灯
B.
    检查装置的气密性
C.
     取用粉末状药品
D.
     给液体加热

查看答案和解析>>

同步练习册答案