相关习题
 0  73030  73038  73044  73048  73054  73056  73060  73066  73068  73074  73080  73084  73086  73090  73096  73098  73104  73108  73110  73114  73116  73120  73122  73124  73125  73126  73128  73129  73130  73132  73134  73138  73140  73144  73146  73150  73156  73158  73164  73168  73170  73174  73180  73186  73188  73194  73198  73200  73206  73210  73216  73224  211419 

科目: 来源:2012年九年级化学竞赛模拟试卷(解析版) 题型:选择题

下列关于实验室的“目的--操作--现象--结论”的描述正确的是( )
实验过程组别实验目的所加试剂
(或操作、图示)
实验现象实验结论
A检验稀盐酸和氢氧化钠溶液是否恰好完全反应在反应后的溶液中滴加无色酚酞试液无明显现象恰好完成反应
B区别食盐水和稀盐酸用玻璃棒分别蘸取少量液体后,在酒精灯火焰上灼烧液体消失,玻璃棒上无固体残留物该液体为稀盐酸
C检验溶液中是否含碳酸根离子加入稀盐酸有气体产生溶液中一定含碳酸根离子
D测定空气中氧气的体积分数完全燃烧后,立即打开弹簧夹,进入水的体积约为集气瓶总体积的五分之一氧气约占空气体积的五分之一

A.A
B.B
C.C
D.D

查看答案和解析>>

科目: 来源:2012年九年级化学竞赛模拟试卷(解析版) 题型:选择题

如图为初中化学中有关甲、乙、丙、丁四种常见物质间的转化关系图,下列说法正确的是( )

A.若甲为单质,丙为单质,则该反应不一定为置换反应
B.若甲为碱、则该反应不一定为中和反应
C.若该反应为氧化反应,则甲或乙不一定为氧气
D.若丁为水,则甲、乙至少有一种为酸或碱

查看答案和解析>>

科目: 来源:2012年九年级化学竞赛模拟试卷(解析版) 题型:选择题

某K2CO3样品中含有Na2CO3、KNO3和Ba(NO32三种杂质中的一种或两种,现将13.8g样品加入到足量的水中,样品全部溶解,再加入过量的CaCl2溶液,得沉淀9g,对样品所含杂质判断正确的是( )
A.肯定有KNO3,可能有Na2CO3
B.肯定有Ba(NO32,可能含有Na2CO3
C.肯定没有Ba(NO32,肯定有Na2CO3
D.肯定没有KNO3和Ba(NO32

查看答案和解析>>

科目: 来源:2012年九年级化学竞赛模拟试卷(解析版) 题型:选择题

某兴趣小组的同学做了四个化学实验并绘制了相关图象.其中错误的是( )

A.向一定质量的稀硫酸中加入铝片
B.把表面被氧化的镁条放入烧杯中,再加入足量稀盐酸
C.向等质量、等质量分数且足量的稀硫酸中分别加入质量相等的锌和铁
D.给氯酸钾和二氧化锰的混合物加热,剩余固体中二氧化锰的质量分数与时间的关系

查看答案和解析>>

科目: 来源:2012年九年级化学竞赛模拟试卷(解析版) 题型:选择题

要除去下列物质中括号内的杂质.甲:CaCO3(Na2CO3) 乙:NaOH(Na2CO3) 丙:KCl(KHCO3) 丁:炭粉(CuO) 可选用的试剂和操作方法有:①加入适量稀盐酸,搅拌、过滤 ②加入适量水,搅拌、过滤 ③加入适量稀盐酸,搅拌、蒸发 ④溶解,加入适量澄清石灰水,过滤、蒸发 下列组合正确的是( )
A.甲-②,乙-④
B.乙-③,丙-①
C.丙-①,丁-②
D.丙-③,丁-①

查看答案和解析>>

科目: 来源:2012年九年级化学竞赛模拟试卷(解析版) 题型:选择题

把一瓶稀盐酸平均分成两份装在甲、乙两个烧杯中,把等质量的碳酸镁和碳酸钠粉末分别放入甲、乙两个烧杯中,待反应停止后发现:甲烧杯中碳酸镁有剩余,乙烧杯中碳酸钠全部消失.根据该现象分析,下列结论可能正确的是( )
A.甲烧杯产生的气体多
B.乙烧杯产生的气体多
C.甲、乙两个烧杯中产生的气体一样多
D.无法判断

查看答案和解析>>

科目: 来源:2012年九年级化学竞赛模拟试卷(解析版) 题型:填空题

等质量的SO2和SO3中含氧元素的质量比为   

查看答案和解析>>

科目: 来源:2012年九年级化学竞赛模拟试卷(解析版) 题型:填空题

某化工厂有甲、乙两个车间,排出的废水澄清透明,经分析分别含有三种不同的离子,两厂废水中共有Ba2+、K+、Cu2+、OH-、NO3-、CO32-六种离子
(1)将甲、乙两车间的废水按适当的比例混合,可以变废为宝,既能使废水中的Ba2+、Cu2+、OH-、CO32+等离子转化为沉淀除去,又可用上层清液来浇灌农田,清液中含的溶质主要是    (填化学式).
(2)经测定甲车间废水的pH=12,则乙车间废水中所含的阴离子是   
(3)根据所学知识判断Cu(NO32和Ba(OH)2溶液能否反应?若能反应写出化学方程式   

查看答案和解析>>

科目: 来源:2012年九年级化学竞赛模拟试卷(解析版) 题型:解答题

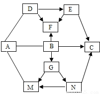
框图中的物质为初中化学所学的物质,其叫属于盐的是B、C、M、N,属于氧化物的是F、G;胃液中含有适量的A,可帮助消化;C是家庭中重要的调味品之-一;D常用于改良酸性土壤.图中“---.”表示两端的物质问能发生化学反应:“→’表示物质间存在转化关系;部分反应物或生成物已略去.
(1)C物质是由______(选填“分子”、“原子”或“离子”)构成的.
(2)A与镁条反应能______(选填“放出”、“吸收”) 热量.
(3)写出D的俗名:______;写出化学式:B______N______
(4)写小G→M的化学方程式:______.

查看答案和解析>>

科目: 来源:2012年九年级化学竞赛模拟试卷(解析版) 题型:解答题

某学习小组用如图所示装置测定锌铜合金中锌、铜的质量分数.
(1)实验前,先将锌铜合金在稀酸中浸泡片刻,其目的是:______;
(2)实验操作步骤有:检查气密性,将药品和水装入各仪器中,连接好装置后,再进行的操作还有:①记录C的液面位置;②将B中剩余固体过滤,洗涤,干燥,称重;③待B中不再有气体产生并恢复至室温后,记录C的液面位置;④由A向B滴加足量试剂;⑤检查气密性.上述再进行的操作的顺序是______(填序号);记录C的液面位置时,除视线平视外,还应______;
(3)B中发生反应的化学方程式为______;
(4)若实验用锌铜合金的质量为a g,与酸充分反应后,测得氢气体积为V L,为求出合金中锌、铜的质量分数,还缺少的一个数据是______;
A.反应前加入稀酸的体积           B.反应前加入稀酸的质量分数
C.实验前反应装置中空气的体积     D.实验条件下氢气的密度
(5)若实验用锌铜合金的质量为a g,与酸充分反应后,B中剩余固体的质量为b g,则锌的质量分数为______;
(6)实验过程中,若未洗涤过滤所得的不溶物,则测得锌的质量分数将______(填“偏大”“偏小”或“不受影响”).

查看答案和解析>>

同步练习册答案