相关习题
 0  73159  73167  73173  73177  73183  73185  73189  73195  73197  73203  73209  73213  73215  73219  73225  73227  73233  73237  73239  73243  73245  73249  73251  73253  73254  73255  73257  73258  73259  73261  73263  73267  73269  73273  73275  73279  73285  73287  73293  73297  73299  73303  73309  73315  73317  73323  73327  73329  73335  73339  73345  73353  211419 

科目: 来源:2009年浙江省温州市永嘉县城关中学九年级化学竞赛试卷(解析版) 题型:解答题

将某绿色植物的叶片放在特定装置中,研究在不同温度和光照条件下(图中的勒克斯是光照强度的单位)的光合速率和呼吸速率,测得数据如图所示.

(1)从本实验可以得出的结论是______;
(2)该叶片在20℃时的呼吸速率是10℃呼吸吸速率的______倍;

(3)20℃、2万勒克斯光照时,叶片每小时通过光合作用产生氧气______毫克.

查看答案和解析>>

科目: 来源:2009年浙江省温州市永嘉县城关中学九年级化学竞赛试卷(解析版) 题型:解答题

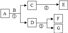
已知Fe+CuSO4═Cu+FeSO4,A~G是初中化学常见的7种物质,其中至少有一种物质是无色气体,且A与G含有相同的金属元素.它们在一定条件下转化关系如图所示,其中部分反应物或生成物已略去.回答问题:若A中两种元素的质量比为7:3,F是一种红色金属,则F的化学式为______;写出反应①的化学方程式:______ 2Fe+3CO2

查看答案和解析>>

科目: 来源:2009年浙江省温州市永嘉县城关中学九年级化学竞赛试卷(解析版) 题型:解答题

李同学在探究铁生锈的条件时,将铁钉浸没在试管里的食盐水中,一段时间后,发现试管底部出现了黑色粉末.李同学对此黑色粉末的组成做了如下几种猜测:①Fe ②Fe2O3 ③Fe3O4 ④FeCl3 ⑤数种物质的混合物.请回答下列问题:
(1)你认为李同学的上述猜想中,不做实验就可排除的是______和______(填序号),理由是______;你认为黑色粉末还可能是______,理由是______.
(2)李同学将黑色粉末干燥后,用磁铁靠近,发现粉末能被磁铁吸引,于是得出结论:黑色粉末一定是铁粉.你认为李同学的结论对吗?______,理由是______.

查看答案和解析>>

科目: 来源:2009年浙江省温州市永嘉县城关中学九年级化学竞赛试卷(解析版) 题型:解答题

欲在室温和1.01×105Pa条件下测定镁的相对分子质量,请利用下图给定的仪器(盛放镁条的隔板有小孔)组装成一套实验装置(每种仪器只允许用一次).请回答下列问题:

(1)装置A中的分液漏斗中盛放的液体是______,其作用是______;
(2)假设气流方向由左向右,则各仪器的接口连接的先后顺序为(填小字母)______;
(3)连接好仪器后,要进行的操作有以下几步:①待仪器B中的物质恢复到室温时,测得量筒C中水的体积(若假设将测定的体积换算为标准状况下为VmL);②擦掉镁条表面的氧化膜,将其置于天平上称量(假定其质量为mg),并将其投入试管B中;③检查各装置的气密性;④旋开仪器A上分液漏斗的活塞,当镁条完全溶解时再关闭活塞.上述几步操作的先后顺序为______;
(4)若未将试管B冷却至室温就测量量筒C中水的体积,这将会使所得镁的相对原子质量数据(选填“偏高”或“偏低”或“无影响”)______;
(5)若未擦净镁条表面氧化膜就进行实验,这将会使所测镁的相对原子质量数据(选填“偏高”或“偏低”或“无影响”)______.

查看答案和解析>>

科目: 来源:2009年浙江省温州市永嘉县城关中学九年级化学竞赛试卷(解析版) 题型:填空题

小明、小鹏和小芳三位同学在一起探究蜡烛燃烧,他们将短玻璃导管插入焰心,发现另一端也可以点燃.
(1)提出问题:导管里一定有可燃性气体,气体成分可能会是什么呢?
(2)猜想:小明认为:可能是蜡烛不完全燃烧时产生的CO.
小鹏认为:可能是蜡烛受热后产生的蒸气.
小芳认为:可能上述两种情况都有.
(3)设计实验方案:请你帮他们设计一个简单的实验方案,来判断哪一种分析是正确的.
(4)现象与结论:如果小明的猜想正确,现象应是    .如果小鹏的猜想正确,现象应是    .如果小芳的猜想正确,现象应是   
(5)如果用CnH2n+2表示蜡烛的主要成分,则其燃烧的化学方程式为   

查看答案和解析>>

科目: 来源:2009年浙江省温州市永嘉县城关中学九年级化学竞赛试卷(解析版) 题型:解答题

某研究性学习小组称取含NaCl的Na2CO3固体25g,将其配制成溶液,再向其中逐滴加入足量的7.3%的稀盐酸,使气体完全放出,共收集到 8.8gCO2气体.
(l)计算原固体中Na2CO3的质量分数和消耗盐酸的总质量.
(2)下表为研究性学习小组向上述配制的混合液中分三次逐滴加入(边加边振荡)盐酸后所记录的部分数据.经查阅资料知Na2CO3与HCl反应可以分两步进行:Na2CO3+HCl二NaCl+NaHCO3(I);NaHCO3+HCl=NaCl+H2O+CO2↑.
①请完成表格中未填的部分.
实验次数每次产生的CO2的质量(g)
第一次先逐滴加盐酸100g______
第二次再逐滴加盐酸100g8.8
第三次再逐滴加盐酸100g
②根据表中数据在坐标系中画出CO2质量(纵坐标)与所加入盐酸质量(横坐标)的关系图.

查看答案和解析>>

科目: 来源:2010年九年级化学竞赛模拟试卷(四)(解析版) 题型:选择题

将3g某物质在空气中充分燃烧,生成8.8g二氧化碳和5.4g水,据此可推断该物质的组成元素( )
A.只含碳和氢两种元素
B.可能含氧元素
C.一定含氧元素
D.氢元素的质量分数为20%

查看答案和解析>>

科目: 来源:2010年九年级化学竞赛模拟试卷(四)(解析版) 题型:选择题

有20.75克由两种金属粉末组成的混合物,将它投入到足量的盐酸中,充分反应后,收集到1克氢气.混合物可能的组成是
( )
A.Zn和Fe
B.Cu和Zn
C.Mg和Cu
D.Zn和Al

查看答案和解析>>

科目: 来源:2010年九年级化学竞赛模拟试卷(四)(解析版) 题型:选择题

从分子、原子的角度认识化学反应是创造新分子的基础,如图中●、○分别表示不同元素的原子,图中表示的反应与实际相符的是( )
A.
B.
C.
D.

查看答案和解析>>

科目: 来源:2010年九年级化学竞赛模拟试卷(四)(解析版) 题型:选择题

如图所示,在烧杯瓶里充满某种气体,烧瓶用带导管的胶塞塞紧,导管的一端已事先绑好一个小气球.拔开胶塞,迅速倒入浓氢氧化钠溶液,再立即塞紧胶塞、振荡,可看到气球逐渐胀大,则瓶中气体可能是( )

A.SO2
B.CO2
C.H2
D.O2

查看答案和解析>>

同步练习册答案