相关习题
0 73169 73177 73183 73187 73193 73195 73199 73205 73207 73213 73219 73223 73225 73229 73235 73237 73243 73247 73249 73253 73255 73259 73261 73263 73264 73265 73267 73268 73269 73271 73273 73277 73279 73283 73285 73289 73295 73297 73303 73307 73309 73313 73319 73325 73327 73333 73337 73339 73345 73349 73355 73363 211419
科目:
来源:2011-2012学年湖北省黄冈市武穴实验二中九年级(上)系列训练化学试卷(五)(解析版)
题型:选择题
在反应M+2N=R+2Q中,3.2gM与N恰好完全反应后,生成8.8gR,且反应生成的R和Q的质量比为11:9,则在此反应中N和Q的质量比是( )
A.16:11
B.16:9
C.9:16
D.4:9
查看答案和解析>>
科目:
来源:2011-2012学年湖北省黄冈市武穴实验二中九年级(上)系列训练化学试卷(五)(解析版)
题型:选择题
下列五种物质中均含有碘元素,它们按下列顺序排列:①KI ②I2 ③HIO ④X ⑤NaIO4 根据这种排列规律,X不可能是( )
A.AgI
B.I(IO3)3
C.I2O4
D.I2O5
查看答案和解析>>
科目:
来源:2011-2012学年湖北省黄冈市武穴实验二中九年级(上)系列训练化学试卷(五)(解析版)
题型:选择题
下列四种途述均用所对应的图象表示,其中图象正确的是( )
①图象A表示向一定量的Ba(OH)
2溶液中滴加CuSO
4溶液,导电性与加入量的关系;
②图象B表示向一定量的Na
2SO
4溶液中滴加BaCl
2溶液,沉淀量与加入量的关系;
③图象C表示一定量的KMnO
4加热制O
2的过程中,残留固体中MnO
2的质量分数与时间的关系;
④图象D表示向一定量的NaOH溶液中逐渐滴加稀盐酸,混合溶液的pH与加入量的关系.
A.

B.

C.

D.

查看答案和解析>>
科目:
来源:2011-2012学年湖北省黄冈市武穴实验二中九年级(上)系列训练化学试卷(五)(解析版)
题型:选择题
下列对实验过程的评价正确的是( )
A.某固体中加稀盐酸产生无色气体,证明该固体中一定含有CO32-;
B.某溶液中滴加BaCl2溶液,生成不溶于稀硝酸的白色沉淀,该溶液中一定含有SO42-;
C.某无色溶液中滴加无色酚酞试液,溶液变成红色,该溶液不一定是碱;
D.某溶液中加入AgNO3溶液有白色沉淀生成,该溶液中一定有Cl-
查看答案和解析>>
科目:
来源:2011-2012学年湖北省黄冈市武穴实验二中九年级(上)系列训练化学试卷(五)(解析版)
题型:填空题
写出符合下列要求的化学符号或化学式
(1)是原子团的阳离子
(2)一种不溶于水的碱
(3)没有挥发性的酸
(4)防锈漆中的“银粉”
(5)食盐中的盐 .
查看答案和解析>>
科目:
来源:2011-2012学年湖北省黄冈市武穴实验二中九年级(上)系列训练化学试卷(五)(解析版)
题型:填空题
根据下列条件写出符合要求的化学方程式
(1)用盐酸洗除铁锈
(2)实验室在常温下制取氧气
(3)是燃烧但不是化合的反应
(4)某溶液由无色变为蓝色的置换反应 .
查看答案和解析>>
科目:
来源:2011-2012学年湖北省黄冈市武穴实验二中九年级(上)系列训练化学试卷(五)(解析版)
题型:填空题
请你运用化学知识解释生活中的一些现象:
(1)鹅卵石河底比泥河底的河流清澈得多,原因是 ;在某些农村常用明矾来净水,其作用是 .
(2)在冬季,人们常看到养鱼池的冰面上打有很多洞,其原因是
(3)炸油条时,当面团放入油锅后,碳酸氢钠受热分解成碳酸钠、水和二氧化碳,不断产生的二氧化碳会使油条膨胀并浮出油面.该反应类型是 ,请用化学方程式表示其中的变化 .
查看答案和解析>>
科目:
来源:2011-2012学年湖北省黄冈市武穴实验二中九年级(上)系列训练化学试卷(五)(解析版)
题型:填空题
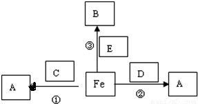
铁是一种化学性质比较活泼的金属,在一定条件下能跟多种物质发生化学反应.回答下列问题:

(1)已知,C、D、E为三类不同的物质,C、D分别是蓝色溶液和无色溶液,其溶质化学式分别是
、
.
(2)完成图中涉及的化学方程式:
①
,
②
,
③
.
查看答案和解析>>
科目:
来源:2011-2012学年湖北省黄冈市武穴实验二中九年级(上)系列训练化学试卷(五)(解析版)
题型:解答题
有一包黑色粉末,可能含有氧化铜、铁粉和炭粉中的一种或三种,课外小组为了探究其成分,进行了探究.请你帮助他们完成下列实验报告:
| 实验操作 | 实验现象 | 实验结论 |
(1)将固体溶于足量的 ______溶液中 | 有气泡产生,黑色粉末全部溶解,有红色固体生成并得到澄清、透明溶液 | 该固体的成分是: ______ |
(2)______ ______ | ______ ______ ______ | 该固体是CuO和炭粉的混合物 |
(3)______ ______ | 黑色粉末不溶解 | 该固体的成分是: ______ |
查看答案和解析>>
科目:
来源:2011-2012学年湖北省黄冈市武穴实验二中九年级(上)系列训练化学试卷(五)(解析版)
题型:解答题
实验室开放日,某化学兴趣小组的同学在老师的指导下,设计了如下实验装置进行气体制取和性质的探究,请回答有关问题:

(1)请写出图中标有字母的仪器名称:a______b______.
(2)实验室用氯酸钾和二氧化锰混合制取氧气时,应选用的发生装置是______(填写装置的字母代号,下同),请写出该反应的化学方程式:______△2KCl+3O
2↑
查看答案和解析>>