相关习题
0 74144 74152 74158 74162 74168 74170 74174 74180 74182 74188 74194 74198 74200 74204 74210 74212 74218 74222 74224 74228 74230 74234 74236 74238 74239 74240 74242 74243 74244 74246 74248 74252 74254 74258 74260 74264 74270 74272 74278 74282 74284 74288 74294 74300 74302 74308 74312 74314 74320 74324 74330 74338 211419
科目:
来源:2010-2011学年江苏省南通市海安县西场中学九年级(上)期末化学复习试卷(解析版)
题型:选择题
继黄金、白金之后,钯金(Pd)首饰在市场上悄然兴起.为了获得钯金,取17.7%的PdCl2溶液100g,加入10.0g铁粉使其充分反应得到钯金和铁的氯化物.经分析所得钯金的质量为10.6g,未反应的铁粉质量为4.4g.下列说法正确的是( )
A.生成铁的氯化物质量为12.7g
B.生成铁的氯化物质量为95.0g
C.生成铁的氯化物为FeCl2
D.生成铁的氯化物为FeCl3
查看答案和解析>>
科目:
来源:2010-2011学年江苏省南通市海安县西场中学九年级(上)期末化学复习试卷(解析版)
题型:填空题
化学用语:
(1)2个亚铁离子 ;
(2)NH4NO3氮元素的化合价 、 ;
(3)“洋河大曲”中的主要溶质 ;
(4)用化学方程式表示成语“百炼成钢”中最主要的化学原理 .
查看答案和解析>>
科目:
来源:2010-2011学年江苏省南通市海安县西场中学九年级(上)期末化学复习试卷(解析版)
题型:填空题
罗化学家Tim Richard将分子结构图形像小狗的某有机物(如图所示)取名为“doggycene”,其化学式为C
26H
26,则该分子中碳原子和氢原子的个数比为
;物质中碳元素的质量分数为
.(最少保留小数点后2位)

查看答案和解析>>
科目:
来源:2010-2011学年江苏省南通市海安县西场中学九年级(上)期末化学复习试卷(解析版)
题型:填空题
颗粒大小达到纳米级的单质铁具有很强的反应活性,俗称“纳米铁”.
(1)在高温条件下,用H2与FeCl2反应,可生成“纳米铁”和一种溶于水显强酸性的气体,写出该反应的化学方程式 .
(2)“纳米铁”在空气中受撞击时会燃烧,其反应与铁在纯氧中燃烧相同,写出该反应的化学方程式 .
(3)请你预测“纳米铁”的其他化学性质,用化学反应方程式表示 .
查看答案和解析>>
科目:
来源:2010-2011学年江苏省南通市海安县西场中学九年级(上)期末化学复习试卷(解析版)
题型:解答题
如图甲是A、B、C三种固体物质的溶解度曲线图.

(1)甲图中,t
2℃时,A、B、C三种物质中,溶解度最大的是______.P点所表示的含义为______.
(2)t℃时,将B物质的不饱和溶液转变成饱和溶液可采取的方法有______.
(3)如乙图所示,20℃时,把试管放入盛有X的饱和溶液的烧杯中,在试管中加入几小段镁条,再加入5mL稀盐酸,立即产生大量的气泡,同时烧杯中出现浑浊,则X可能为A、B、C三种固体物质中的哪一种?______.写出镁条与稀盐酸反应的方程式:______.
查看答案和解析>>
科目:
来源:2010-2011学年江苏省南通市海安县西场中学九年级(上)期末化学复习试卷(解析版)
题型:填空题
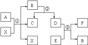
已知A、B、C、D、E、F为常见物质,其中A、B含有相同的元素,B、E为氧化物,C、D、F都为单质.它们相互转化的关系如图所示(图中反应条件略去).
(1)X在反应①中起
作用.
(2)写出有关物质的化学式:A
C
(3)若F不溶于稀硫酸,写出F可能的化学式
,该反应③的基本类型是
.与D具有相同化学性质,并能与E发生反应,且反应基本类型与③不相同的物质有
,反应的化学方程式为
.

查看答案和解析>>
科目:
来源:2010-2011学年江苏省南通市海安县西场中学九年级(上)期末化学复习试卷(解析版)
题型:填空题
某兴趣小组同学在一份资料中了解到:铜有CuO和Cu2O(红色)两种常见的氧化物.因为Cu和Cu2O均为红色,故他们猜测,在H2还原CuO所得的红色产物中可能含有Cu2O.
(1)该小组同学准确称取了8.0g黑色CuO粉末放入大试管中,不断通入足量的H2,在加热条件下进行还原,如果产物只有Cu,其质量应为 .
(2)该小组在H2还原CuO时,当发现8.0g黑色CuO粉末全部转变成红色时,停止加热,冷却后称得固体质量为6.8g.此红色固体中氧元素的质量为 ,以此推得Cu2O的质量为 .
查看答案和解析>>
科目:
来源:2010-2011学年江苏省南通市海安县西场中学九年级(上)期末化学复习试卷(解析版)
题型:解答题
小明在学习金属活动性顺序时,对课本上“在金属活动顺序里,位于前面的金属能把位于后面的金属从它们的化合物溶液中置换出来”这句话产生了好奇.有没有例外呢?
[查阅资料]Na性质活泼,常温下,与氧气反应,也可以与水反应放出氢气,同时生成氢氧化钠.
[实验与分析]①在实验室中,金属钠保存在煤油中;②用镊子从煤油中取出金属钠,放在滤纸上,用小刀切下一小块,投人蒸馏水中,发现钠块立刻熔化成银白色小球,在水面上到处游动,冒出气泡;③往硫酸铜溶液中,投入一小块钠,又出现蓝色沉淀,但没有红色物质析出.
(1)金属钠保存在煤油中的原因______.
(2)从实验②中,你能得出哪些信息?(任写两条).______;______.
(3)写出钠与水反应的化学方程式______.
[结论]对书本上的结论加以补充:活动性较强的金属______.
查看答案和解析>>
科目:
来源:2010-2011学年江苏省南通市海安县西场中学九年级(上)期末化学复习试卷(解析版)
题型:解答题
小明对防毒面具中活性炭的作用产生了兴趣:活性炭能否吸附人体呼出的CO2和吸进的O2?于是进行了以下探究:依次写出用装置甲分别制取CO2和O2的化学方程式______;______ 2H2O+O2↑
查看答案和解析>>
科目:
来源:2010-2011学年江苏省南通市海安县西场中学九年级(上)期末化学复习试卷(解析版)
题型:解答题
如图I是实验室“制取氢气并还原氧化铜实验”的简易装置,其中铜制燃烧匙可以在试管M中上下移动,虚线框中的装置需从图Ⅱ中选取.图Ⅱ中的细铜丝一端绕成螺旋状,先在酒精灯火焰上加热,变黑后再迅速地伸到制得的氢气中.请回答下列问题:
(1)在图I中,试管M内的液体应选用______,该反
应的化学方程式为______.
(2)在图I的虚线框中,应选用图Ⅱ中的______填
“A”或“B”)装置,该装置中发生反应的化学方程
式为______ Cu+H
2O

查看答案和解析>>