相关习题
 0  74344  74352  74358  74362  74368  74370  74374  74380  74382  74388  74394  74398  74400  74404  74410  74412  74418  74422  74424  74428  74430  74434  74436  74438  74439  74440  74442  74443  74444  74446  74448  74452  74454  74458  74460  74464  74470  74472  74478  74482  74484  74488  74494  74500  74502  74508  74512  74514  74520  74524  74530  74538  211419 

科目: 来源:2009-2010学年江苏省南京市江宁区东山外校九年级(上)期末化学试卷(解析版) 题型:选择题

室温下,等质量的镁片和铝片分别与足量的稀硫酸反应,产生氢气的质量(m)与时间(t)的关系图正确的是( )
A.
B.
C.
D.

查看答案和解析>>

科目: 来源:2009-2010学年江苏省南京市江宁区东山外校九年级(上)期末化学试卷(解析版) 题型:选择题

学好化学,辨别真伪.市面上有人用5角硬币(铜锌合金)制成假黄金首饰行骗,小晓同学用一种试剂揭穿了他.小晓一定不会用的试剂是( )
A.硫酸铜溶液
B.硝酸银溶液
C.盐酸
D.硝酸钠溶液

查看答案和解析>>

科目: 来源:2009-2010学年江苏省南京市江宁区东山外校九年级(上)期末化学试卷(解析版) 题型:解答题

中华人民共和国第十届运动会于2005年10月12日在南京开幕.某九年级化学活动小组为了更好地宣传南京发展成就、展示南京文明形象,对“十运会”的重大活动做了如下记录.
(1)“十运会”开幕式上放飞的大量彩色气球悬浮在奥体中心上空,气球内充入的气体必须具备的物理性质是______.从安全角度考虑,这些腾飞的气球内不宜充入______气体.
(2)开幕式夜晚朵朵礼花将秋夜的南京点缀得五彩斑斓.焰火的配料主要是镁粉、铝粉、氯酸钾粉末等,其中点燃时可能发生化合反应的化学方程式有:______ 2MgO

查看答案和解析>>

科目: 来源:2009-2010学年江苏省南京市江宁区东山外校九年级(上)期末化学试卷(解析版) 题型:解答题

下面是我们已学过的某些化合物与单质间的相互转化关系.
(1)若甲为无色溶液,y是密度最小的气体,甲可能是______(写一种,填化学式,下同),x应满足的条件是______;
(2)若乙为浅绿色溶液,y是红色固体,则x是______;该反应的基本类型属于______反应;
(3)若乙在常温下是无色气体,y是红色固体,则x是______,该反应的化学方程式是______ 2Cu+CO2

查看答案和解析>>

科目: 来源:2009-2010学年江苏省南京市江宁区东山外校九年级(上)期末化学试卷(解析版) 题型:解答题

如图在三只烧杯中盛有等量的水,然后依次加入30克、40克、50克蔗糖,用玻璃棒充分搅拌溶解,最后情况如图,请你判断:______中溶液一定饱和,______中溶液一定不饱和;______中和______中的溶质质量分数可能相等.

查看答案和解析>>

科目: 来源:2009-2010学年江苏省南京市江宁区东山外校九年级(上)期末化学试卷(解析版) 题型:填空题

下列是初中化学中常见的一些物质间的相互转化关系,其中A、E、F、G为单质.

回答:(1)M的化学式    ,乙的化学式   
(2)乙和稀盐酸反应的基本类型是   
(3)写出下列转化的化学方程式:甲→E+Y    ; N→A+D   

查看答案和解析>>

科目: 来源:2009-2010学年江苏省南京市江宁区东山外校九年级(上)期末化学试卷(解析版) 题型:填空题

原子序数11-17元素的符号和原子结构示意图如下,请结合下图回答
(1)原子序数为15的原子质子数为    最外层有    电子;
(2)结合上图用符号表示下列内容:
①原子序数为13的原子形成的离子符号   
②分子中含有两个原子物质的化学式   
③原子序数为12、17的元素组成化合物的化学式   
(3)从11-17,随着原子序数的增加,其原子结构(或元素的性质)呈现出的变化规律是:    .(任写一条)

查看答案和解析>>

科目: 来源:2009-2010学年江苏省南京市江宁区东山外校九年级(上)期末化学试卷(解析版) 题型:解答题

找出知识间的联系,并将其整合成知识网络,是学习化学知识的有效方法之一.如CaCO3、CaCl2、Ca(OH)2等三种物质间相互联系可用左图表示.
(1)请你仿照上述例子用图表示C、CO、CO2、CaCO3等四种物质的相互关系(只限初中).
(2)请根据找出的转化关系,写出符合下列要求的化学方程式各一条.
①置换反应______ 2Cu+CO2↑(或3C+Fe2O3Fe+CO2↑等)

查看答案和解析>>

科目: 来源:2009-2010学年江苏省南京市江宁区东山外校九年级(上)期末化学试卷(解析版) 题型:解答题

(1)金属钛(Ti)是航空、宇航、军工、电子等方面的必需材料.在生产钛的过程中可用镁在加热条件下与TiCl4反应制得金属钛,反应的化学方程式为
TiCl4+2Mg Ti+2MgCl2.该反应属于______ 反应(选填化合、分解、置换),此反应说明金属钛的活动性比镁的活动性______(填“强”或“弱”).
(2)火箭有多种推进剂,所涉及的化学反应也各不相同.
①哥伦比亚号航天飞机曾用金属铝粉和高氯酸铵(NH4ClO4)的混合物作为固体燃料,加热铝粉使其被氧气氧化并放出大量的热,促使混合物中高氯酸铵发生分解,同时生成四种气体,其中两种气体是空气的主要成分,一种气体是氯气(Cl2),还有一种气体是相对分子质量最小的氧化物.试写出其中高氯酸铵受热分解的化学方程式:______ N2↑+2O2↑+Cl2↑+4H2O↑

查看答案和解析>>

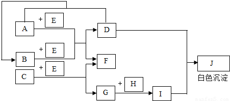
科目: 来源:2009-2010学年江苏省南京市江宁区东山外校九年级(上)期末化学试卷(解析版) 题型:填空题

A~J都是初中化学中的常见物质,且有如图所示转化关系(反应条件、其他生成物均已略去).已知A、C、F均为单质,其中F为亮红色固体,其它为化合物,其中J是常用的建筑材料的主要成份,回答下列问题:

(1)写出下列物质的化学式:B    、H    、G   
(2)写出下列反应方程式:C+E.   

查看答案和解析>>

同步练习册答案