相关习题
 0  74380  74388  74394  74398  74404  74406  74410  74416  74418  74424  74430  74434  74436  74440  74446  74448  74454  74458  74460  74464  74466  74470  74472  74474  74475  74476  74478  74479  74480  74482  74484  74488  74490  74494  74496  74500  74506  74508  74514  74518  74520  74524  74530  74536  74538  74544  74548  74550  74556  74560  74566  74574  211419 

科目: 来源:2010-2011学年九年级(上)期末化学试卷(7)(解析版) 题型:填空题

回答下列问题.
(1)如图所示,将铁盒中的酒精点燃后放入盛有冰水的烧杯中,酒精的火焰逐渐熄灭,其原因是   
(2)高锰酸钾可用来生火.将一份砂糖和两份高锰酸钾混合,夹在两片干木材中研磨,若天气干燥,摩擦约30 s木片燃烧起来.上述过程中,高锰酸钾的作用是   
(3)古人类钻木生火时常放一些干毛草,这是因为   
(4)用火柴点一张纸和同样纸的纸团,纸比纸团易燃,原因是   
(5)如图所示,某化学实验小组在探究物质燃烧条件时,在一个集气瓶(气密性良好,胶塞上固定一打磨过的铁钉)内燃烧小蜡烛,火焰一会儿熄灭了.火焰熄灭的原因之一可能是    .将反应后的装置密封放置数天后,发现铁钉表面出现了锈迹,说明瓶内有    ,它们的来源是   

查看答案和解析>>

科目: 来源:2010-2011学年九年级(上)期末化学试卷(7)(解析版) 题型:填空题

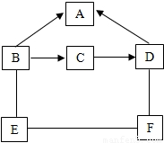
如图所示,已知A、B、C、D、E、F是初中化学常见的六种物质.D、E为单质,其余为化合物.其中B由三种元素组成,且三种元素质量比为10:3:12.(图中“-”表示两端的物质;“→”表示物质间存在转化关系).
(1)试判断下列物质的化学式:B    ;C    ;D   
(2)写出下列反应的化学方程式:D→A   
F+E   

查看答案和解析>>

科目: 来源:2010-2011学年九年级(上)期末化学试卷(7)(解析版) 题型:解答题

根据如图回答问题.
(1)写出仪器a的名称______.
(2)向“人”字型管的甲、乙两端分别装入一种固体和一种液体物质,按图示连接好装置,再倾斜装置,使乙中液体流入甲中.填写下表
操作及现象固体物质液体物质两端物质反应的化学方程式
将带火星木条放在试管口,木条复燃
将燃着木条放在试管口,木条熄灭


查看答案和解析>>

科目: 来源:2010-2011学年九年级(上)期末化学试卷(7)(解析版) 题型:解答题

根据下列实验回答问题.

(1)A实验中的现象是______.
(2)B实验中水的作用是______.白磷燃烧的化学方程式为______ 2P2O5

查看答案和解析>>

科目: 来源:2010-2011学年九年级(上)期末化学试卷(7)(解析版) 题型:解答题

甲、乙同学分别进行如下探究活动,请你参与他们的探究过程.
(1)甲同学:检验一种气体并探究该气体的性质.
探究活动一:

实验内容
实验一:观察一瓶气体并闻气味实验二:将燃着的木条伸入盛有该气体的集气瓶内实验三:向盛有该气体的集气瓶内加入少量澄清石灰水,振荡
实验现象瓶口向上放置,无色无味燃着的木条熄灭澄清的石灰水变浑浊

结论
1.该气体是______(填化学式).
2.该气体能与石灰水反应.
该反应的化学方程式为______.
探究活动二:
该同学另取一瓶该气体,进行如图所示的实验:将集气瓶倒扣在水槽中,可能观察到的现象是______.用玻璃片盖住集气瓶将其从水槽中取出,如何证明该气体与水发生了化学变化?填写下表.
        实验步骤实验现象实验结论
______一支试管内液体变红,一支试管内液体为紫色结论:该气体与水发生了化学变化
(2)乙同学:探究铁生锈的条件,他将干净的铁钉分别同时放入A、B、C三支试管中进行研究.请你帮助该同学完成下列实验设计的部分内容.
编号操作方法实验目的
A______探究铁在干燥空气中的生锈情况
B向试管中注入蒸馏水浸没铁钉,并用植物油液封______
C______探究铁在有空气和水时的生锈情况
一周后,编号为______的试管中的铁钉最易生锈.

查看答案和解析>>

科目: 来源:2010-2011学年九年级(上)期末化学试卷(7)(解析版) 题型:解答题

工业上用电解氯化镁的方法生产金属镁,反应的化学方程式为:MgCl2Mg+Cl2↑,若生产240 kg金属镁,理论上需电解氯化镁多少千克?

查看答案和解析>>

科目: 来源:2010-2011学年九年级(上)期末化学试卷(7)(解析版) 题型:解答题

请回答下列问题:
(1)加热一定质量的高锰酸钾至完全分解,则生成氧气的质量占高锰酸钾中氧元素的质量分数为______.
(2)小宇同学将16 g高锰酸钾放在试管里加热制取氧气,反应一段时间后,称量试管内剩余固体的质量为14.4 g.
①剩余固体中,含有的物质是______.
②生成二氧化锰的质量(写出计算过程).

查看答案和解析>>

科目: 来源:2006-2007学年北京市东城区九年级(上)期末化学试卷(解析版) 题型:选择题

下列变化中,前者属于物理变化,后者属于化学变化的是( )
A.水结冰冰融化
B.铁生锈铁熔化
C.汽油挥发汽油燃烧
D.牛奶酸败牛奶煮沸

查看答案和解析>>

科目: 来源:2006-2007学年北京市东城区九年级(上)期末化学试卷(解析版) 题型:选择题

我们身边常见的下列物质中,属于氧化物的是( )
A.氧气
B.水
C.空气
D.食盐(化学名称为氯化钠)

查看答案和解析>>

科目: 来源:2006-2007学年北京市东城区九年级(上)期末化学试卷(解析版) 题型:选择题

下列物质的用途主要与它的物理性质有关的是( )
A.氧气用于炼钢
B.干冰用于人工降雨
C.二氧化碳用于灭火
D.天然气用作清洁燃料

查看答案和解析>>

同步练习册答案