相关习题
0 75204 75212 75218 75222 75228 75230 75234 75240 75242 75248 75254 75258 75260 75264 75270 75272 75278 75282 75284 75288 75290 75294 75296 75298 75299 75300 75302 75303 75304 75306 75308 75312 75314 75318 75320 75324 75330 75332 75338 75342 75344 75348 75354 75360 75362 75368 75372 75374 75380 75384 75390 75398 211419
科目:
来源:2011-2012学年江苏省盐城市东台市富安中学九年级(上)第十三周双休日自主学习化学作业(解析版)
题型:解答题
地壳中含量最多的非金属和铁元素能形成哪几种化合物?写出化学式和名称______.
查看答案和解析>>
科目:
来源:2011-2012学年江苏省盐城市东台市富安中学九年级(上)第十三周双休日自主学习化学作业(解析版)
题型:填空题
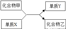
根据下列化合物与单质相互转化的关系回答:
(1)若乙的溶液是浅绿色,Y是红色固体,则X是
,如:(用化学方程式表达)
;
(2)在常温下若乙是气体,则X是
,如:(用化学方程式表达)
;
(3)在常温下若甲是固体,乙是无色液体,则X是
,如:(用化学方程式表达)
.

查看答案和解析>>
科目:
来源:2011-2012学年江苏省盐城市东台市富安中学九年级(上)第十三周双休日自主学习化学作业(解析版)
题型:解答题
某学生分别用1g的铁屑、锌粒、镁片与足量的某酸反应以制取氢气,完全反应所需时间与当地的金属价格如下表所示.
| 物 质 | 所需时间 | 价 格 |
| 铁屑 | 约13900s | 10.00元/1000g |
| 锌粒 | 约50s | 20.00元/500g |
| 镁片 | 约20s | 10.80元/25g |
你认为实验室中一般不选用铁屑、镁片与酸反应制取氢气的主要原因是什么?
查看答案和解析>>
科目:
来源:2011-2012学年江苏省盐城市东台市富安中学九年级(上)第十三周双休日自主学习化学作业(解析版)
题型:解答题
在实验室用一氧化碳还原2.0g赤铁矿样品,反应后生成的二氧化碳跟足量的澄清石灰水反应,生成了3.0g白色沉淀.求赤铁矿样品中Fe2O3的质量分数.
查看答案和解析>>
科目:
来源:2011-2012学年江苏省盐城市东台市富安中学九年级(上)第十三周双休日自主学习化学作业(解析版)
题型:解答题
冶炼2000t含杂质3%的生铁,需要含Fe3O490%的磁铁矿石多少吨?
查看答案和解析>>
科目:
来源:2011-2012学年江苏省盐城市东台市富安中学九年级(上)第十三周双休日自主学习化学作业(解析版)
题型:解答题
我国约在南北朝时就开始冶炼黄铜,黄铜是铜和锌的合金(Cu-Zn),它可用来制造电器零件及日用品.小华利用一瓶稀盐酸和相关的仪器,测定黄铜样品的组成(不考虑黄铜中的其他杂质).将30mL稀盐酸分三次加入到10g黄铜样品粉末中,每次充分反应后,测定生成氢气的质量,实验数据见下表:
| 第一次 | 第二次 | 第三次 |
| 连续加入盐酸的体积/mL | 10 | 10 | 10 |
| 生成氢气的质量/g | 0.08 | 0.08 | 0.04 |
(1)从上表数据分析,小华用10g合金粉末总共收集到氢气______g;
(2)求该合金中铜的质量分数.
查看答案和解析>>
科目:
来源:2011-2012学年人教版九年级(上)期末化学试卷(解析版)
题型:选择题
看了《2012世界末日》,地球人都感觉自然灾害的频发足于毁灭我们的地球,灾害中常有如下现象发生,其中属于化学变化的是( )
A.冰雪融化
B.房屋倒塌
C.森林失火
D.树枝折断
查看答案和解析>>
科目:
来源:2011-2012学年人教版九年级(上)期末化学试卷(解析版)
题型:选择题
试管是实验室常用的仪器,可进行多种操作,如①取用少量液体做实验;②加热液体;③洗涤试管;④排水集气;⑤若配以橡皮塞、导管等,还可用于洗气;⑥集、贮气等.上述操作用到液体(或水)时,用量常有:a、盛满试管;b、约占试管的

;c、不超过试管容积的

;d、1ml-2ml四种.对于上述①~⑥操作,正确的液体(或水)的用量应是( )
A.cbaadb
B.dcbaba
C.dcabab
D.cdaabb
查看答案和解析>>
科目:
来源:2011-2012学年人教版九年级(上)期末化学试卷(解析版)
题型:选择题
肥东、肥西农民在地里焚烧秸秆造成的空气污染,使我市空气质量下降到全年最低水平.焚烧秸秆可能导致的后果有①引发火灾②能见度降低,引起交通事故③诱发呼吸道疾病④造成部分肥力损失等.其中主要因污染了空气而造成的后果是( )
A.①④
B.②③
C.①③
D.②④
查看答案和解析>>
科目:
来源:2011-2012学年人教版九年级(上)期末化学试卷(解析版)
题型:选择题
下列对化学知识的归纳中不正确的是( )
A.化学巨匠及贡献

B.生产生活中安全常识

C.日常生活经验

D.灭火方法

查看答案和解析>>