相关习题
 0  76566  76574  76580  76584  76590  76592  76596  76602  76604  76610  76616  76620  76622  76626  76632  76634  76640  76644  76646  76650  76652  76656  76658  76660  76661  76662  76664  76665  76666  76668  76670  76674  76676  76680  76682  76686  76692  76694  76700  76704  76706  76710  76716  76722  76724  76730  76734  76736  76742  76746  76752  76760  211419 

科目: 来源:2009-2010学年江苏省常州市北环中学九年级(上)化学单元测试卷(解析版) 题型:解答题

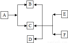
如图中A、B、C、D、E、F均为化学中常见物质,其中B在常温下为最常见液体,C为气体,E为大理石的主要成份.物质间的转化关系如图所示,反应物、生成物均已标出.请依据如图推断:
(1)请写出下列物质的化学式:
A______;C______;D______;E______;
(2)写出下列反应的化学反应文字表达式(或化学反应式):
A→B+C:______;E→C(反应物、生成物为未全部写出)______.

查看答案和解析>>

科目: 来源:2009-2010学年江苏省常州市北环中学九年级(上)化学单元测试卷(解析版) 题型:解答题

某校化学兴趣小组就空气中氧气的含量进行实验探究:
集体讨论:讨论后同学们认为:
(1)选择的药品既要能消耗氧气.他们应该选择取过量的(填编号)______.
A、蜡烛,B、红磷,C、硫粉
一般不用木炭的原因是______;
设计实验:
第一小组同学共同设计了如图的A、B两套装置.
(1)你认为合理的是(填编号)______,其原因是______.

(2)集气瓶中红磷燃烧反应的化学反应式是______

查看答案和解析>>

科目: 来源:2009-2010学年江苏省常州市北环中学九年级(上)化学单元测试卷(解析版) 题型:解答题

我市某校研究性学习小组在老师指导下,对呼吸作用是否产生二氧化碳进行探究.现请你一同参与:
[提出问题]:呼吸作用是否产生二氧化碳?
[设计方案并进行实验]:
小雪:在试管中加入2ml蒸馏水,用一支玻璃导管插入水中吹气,结果未发现明显的现象.
小宁:在试管中加入2ml澄清石灰水,用玻璃导管向试管中的溶液吹气,产生的现象是:______,该反应的化学反应文字表达式(或化学反应式)为:______.
[解释与结论]:小宁的结论为:呼吸作用能产生二氧化碳.
[评价与反思]:
(1)根据他们的方案和实验,若继续按小雪的方案实验,也能得到小宁同样的结论.请你帮小雪完成继续实验的方案(要求写出实验操作及产生的现象).
实验方案实验现象实验结论
  人呼出气体中含有二氧化碳.
(2)在“奇妙的二氧化碳”的学习中同学们通常会完成“阶梯蜡烛实验”(如图一所示)为研究方便“蜡烛与烧杯”的俯视图表示为如图三所示.为准确完成该实验,防范其他因素的干扰,通常会在将蜡烛点燃,再在烧杯中加一铁质的挡板(如图二所示)后,再向烧杯中倒入二氧化碳.

             图一                    图二               图三                    图四
  ①实验中挡板放置位置,应当如图______处表示的位置.(从如图中选“Ⅰ”或“Ⅱ”,其中虚线表示为“挡板”放置的位置.)

②插入挡板后,应将二氧化碳气体倒入,请你从图四中选择合理倒入位置______(选填“A”、“B”、“C”或“D”)
③本实验的现象是______;
④由上述实验现象可知二氧化碳的性质有:______.

查看答案和解析>>

科目: 来源:《第7单元 燃料及其利用》2010年单元测试卷(北大附中)(解析版) 题型:选择题

下列物质的燃烧产物,不会污染空气的是( )
A.柴油
B.氢气
C.硫
D.煤

查看答案和解析>>

科目: 来源:《第7单元 燃料及其利用》2010年单元测试卷(北大附中)(解析版) 题型:选择题

下列燃料属纯净物的是( )
A.甲烷
B.天然气
C.石油
D.煤

查看答案和解析>>

科目: 来源:《第7单元 燃料及其利用》2010年单元测试卷(北大附中)(解析版) 题型:选择题

下列气体与空气混合后遇明火,可能发生爆炸的是( )
A.甲烷
B.氮气
C.氧气
D.二氧化碳

查看答案和解析>>

科目: 来源:《第7单元 燃料及其利用》2010年单元测试卷(北大附中)(解析版) 题型:选择题

人们在工作、生活中,为了防止事故,常采用一些安全措施,下列措施安全的是( )
A.到溶洞探险打灯火照明
B.掏空沼气池前,对沼气池进行灯火试验
C.到小煤窖挖煤用火把照明
D.厨房内煤气泄漏打开排气扇通风

查看答案和解析>>

科目: 来源:《第7单元 燃料及其利用》2010年单元测试卷(北大附中)(解析版) 题型:选择题

将点燃的火柴竖直向上,火柴不易继续燃烧,其原因是( )
A.火柴梗温度达不到着火点
B.火柴梗的着火点比火柴头的高
C.火柴梗潮湿,不易继续燃烧
D.火柴梗接触氧气少

查看答案和解析>>

科目: 来源:《第7单元 燃料及其利用》2010年单元测试卷(北大附中)(解析版) 题型:选择题

6月5日是世界环境日,环境保护是我国的一项基本国策,空气的净化越来越受到人们的关注一.下列气体中,三种气体都属于空气污染物的是( )
A.SO2、N2、NO2
B.CO2、CO、N2
C.CO、CO2、H2
D.SO2、CO、NO2

查看答案和解析>>

科目: 来源:《第7单元 燃料及其利用》2010年单元测试卷(北大附中)(解析版) 题型:选择题

汽油属于易燃物,敞口放置一瓶汽油,虽然与空气接触,但并未燃烧,这是由于( )
A.汽油具有挥发性
B.汽油的着火点较低
C.与汽油接触的氧气少
D.周围环境温度低于汽油的着火点

查看答案和解析>>

同步练习册答案