相关习题
0 76671 76679 76685 76689 76695 76697 76701 76707 76709 76715 76721 76725 76727 76731 76737 76739 76745 76749 76751 76755 76757 76761 76763 76765 76766 76767 76769 76770 76771 76773 76775 76779 76781 76785 76787 76791 76797 76799 76805 76809 76811 76815 76821 76827 76829 76835 76839 76841 76847 76851 76857 76865 211419
科目:
来源:2007-2008学年广东省东莞市九年级(上)期末化学试卷(解析版)
题型:填空题
下图是氧元素、铝元素在周期表中的位置及有关的结构示意图:

请回答下列问题:
(1)铝元素的原子序数为
;属于铝离子的结构示意图是
(填序号,下同);
(2)右图中属于氧原子的结构示意图的是
;
(3)氧元素与铝元素最本质的区别是
;
A.中子数不同 B.质子数不同
C.相对原子质量不同 D.电子数不同.

查看答案和解析>>
科目:
来源:2007-2008学年广东省东莞市九年级(上)期末化学试卷(解析版)
题型:填空题
下表中所列实验操作不当,或缺少试剂,或选用试剂不对而造成实验失误,请你找出每个实验失误的主要原因,把序号填入答案的空格中.
| 失误的实验 | 失误的原因 | 答案 |
(1)用高锰酸钾制氧气时水槽中的水呈紫红色 (2)铁丝在氧气中燃烧后集气瓶底炸裂 (3)用双氧水制氧气时,短时间内没有气泡 | A、集气瓶底没有留水或细沙 B、没有加催化剂 C、试管口没有放棉花 | (1) (2) (3) |
查看答案和解析>>
科目:
来源:2007-2008学年广东省东莞市九年级(上)期末化学试卷(解析版)
题型:填空题
阅读下列短文:(为了答题方便,句子前面加了序号)
①纯净的氮气是无色无味的气体.
②在放电条件下,氮气跟氧气能直接化合生成无色的一氧化氮气体.
③一氧化氮不溶于水,在常温下易跟空气中的氧气化合,生成红棕色的二氧化氮气体.
④二氧化氮有毒,易溶于水.它溶于水后生成硝酸和一氧化氮.
⑤生成的硝酸随雨水淋洒到大地上,同土壤中的矿物相作用,形成可溶性的硝酸盐.
试填写下列空白:
(1)短文中描述氮气化学性质的句子是 ;(填序号)
(2)实验室制取一氧化氮气体,宜用 法收集;
(3)写出二氧化氮与水作用的化学方程式 ;
(4)“雷雨发庄稼”.意思是,雷雨过后,土壤中的养分增多了,有利于植物的生长.其原因是 .
查看答案和解析>>
科目:
来源:2007-2008学年广东省东莞市九年级(上)期末化学试卷(解析版)
题型:解答题
下表是某城市居民常用的气体燃料价格和热值,通过分析回答下列问题:
| 燃料 | 价格 | 热值 |
| 煤气 | 1.25元/㎏ | 1.56×107kJ/㎏ |
| 石油液化气 | 2.50元/㎏ | 4.5×107kJ/㎏ |
| 天然气 | 1.4元/㎏ | 3.9×107kJ/㎏ |
(1)从经济角度考虑,选哪种燃料更适合?______;原因是______.
(2)实验证明:同温同压下,相同体积的任何气体中会有相同的分子数.据此结论回答
问题:
①将同体积的CO和CH
4混合,所得混合气体中C、H、O元素的原子个数比为______,C、H元素质量比为______.
②分别写出CO和CH
4燃烧的化学方程式:______.2CO
2
查看答案和解析>>
科目:
来源:2007-2008学年广东省东莞市九年级(上)期末化学试卷(解析版)
题型:解答题
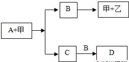
已知A、B、C、D是四种化合物,甲、乙是两种单质;A是含碳化合物;A的相对分子质量小于20,B是相对分子质量最小的氧化物.在一定条件下,它们之间存在如下转化关系:
(1)写出A、C、甲、乙四种物质的化学式.
A______;C______;甲______;乙______;
(2)写出物质C与B反应生成D的化学方程式:______.

查看答案和解析>>
科目:
来源:2007-2008学年广东省东莞市九年级(上)期末化学试卷(解析版)
题型:解答题

某同学在家里用纯碱和醋酸(含有3%~5%的醋酸)制取二氧化碳并验证其性质(如右图所示).他先将一支蜡烛固定在玻璃杯的底部,再在杯里放入一些纯碱.然后点燃蜡烛,沿杯壁缓缓倒入一定量的醋酸,推测在反应过程中他能观察到的现象.
(1)现象①______,②______.
(2)用______和______代替纯碱和醋酸,使现象与(1)中蜡烛产生的现象相反,其反应的化学方程式______ 2H
2O+O
2↑
查看答案和解析>>
科目:
来源:2007-2008学年广东省东莞市九年级(上)期末化学试卷(解析版)
题型:解答题
根据下图所示实验装置回答问题:
(1)小明同学选择A装置准备用高锰酸钾为原料制取一瓶纯净的氧气(不考虑水蒸气),他应选择的收集装置是______(填字母),写出该方法制取氧气的化学反应方程式______ K2MnO4+MnO2+O2↑
查看答案和解析>>
科目:
来源:2007-2008学年广东省东莞市九年级(上)期末化学试卷(解析版)
题型:填空题
北京奥运场馆的建设中,外墙体将大量采用新型塑料膜材料ETFE,[ETFE的化学名称为聚氟乙烯,化学式为(C2H2F2)n],这种材料美观、耐用,且无须清理维护,可以使用15至20年.试回答下列问题:
(1)ETFE由 种元素组成;ETFE中C、H、F元素的质量比为 .
(2)ETFE中碳元素的质量分数为 .(保留一位小数)
查看答案和解析>>
科目:
来源:2007-2008学年广东省东莞市九年级(上)期末化学试卷(解析版)
题型:解答题

右图为“XX”钙片商品标签图,请根据标签的有关信息完成下列各题.
(1)每片钙片中至少含钙元素的质量为______g.
(2)小花同学为测定其碳酸钙的含量标注是否属实,她取出10片钙片,研碎后放入小烧杯中,逐滴加入稀盐酸,至不再放出气体为止,共用去稀盐酸30g,称量小烧杯中剩余物质的质量是43.4g(不含烧杯质量,假定钙片其它成分不与盐酸反应).
①生成的二氧化碳的质量为______g.
②通过计算判断该钙片中碳酸钙的含量标注是否属实.
查看答案和解析>>
科目:
来源:2008-2009学年广东省深圳市宝安区九年级(上)期末调研测试科学试卷(化学部分)(解析版)
题型:选择题
人体是一座元素的“仓库”,地壳中天然存在的化学元素,大都能在人体中找到,其中人体内含量最高的元素是( )
A.H
B.C
C.O
D.Al
查看答案和解析>>