相关习题
 0  76698  76706  76712  76716  76722  76724  76728  76734  76736  76742  76748  76752  76754  76758  76764  76766  76772  76776  76778  76782  76784  76788  76790  76792  76793  76794  76796  76797  76798  76800  76802  76806  76808  76812  76814  76818  76824  76826  76832  76836  76838  76842  76848  76854  76856  76862  76866  76868  76874  76878  76884  76892  211419 

科目: 来源:2009-2010学年湖北省仙桃实验中学九年级(上)期末化学试卷(解析版) 题型:填空题

写出下列化学方程式:
(1)镁条燃烧   
(2)用过氧化氢溶液制氧气   
(3)木炭和氧化铜在高温下反应   
(4)将锌片放入硝酸银溶液中   

查看答案和解析>>

科目: 来源:2009-2010学年湖北省仙桃实验中学九年级(上)期末化学试卷(解析版) 题型:填空题

在汽油中加入适量乙醇就得到乙醇汽油.
(1)乙醇(C2H5OH)在空气中充分燃烧的化学方程式为   
(2)关于乙醇汽油的下列说法中不正确的是    (填序号).
A.乙醇属于可再生性能源;         B.乙醇汽油不能用作汽车燃料
C.使用乙醇汽油可减少大气污染;   D.使用乙醇汽油可节省石油资源’
(3)汽车尾气中含有CO、NO,一种新型催化剂能使二者发生反应,生成两种常见的无毒气体,反应的化学方程式为   

查看答案和解析>>

科目: 来源:2009-2010学年湖北省仙桃实验中学九年级(上)期末化学试卷(解析版) 题型:填空题

元素周期律和周期表是学习化学的重要工具,下表是元素周期表的部分信息

请认真分析表中信息,回答下列问题:
(1)空气中含量最多的元素名称是    ,该元素原子的质子数为   
(2)所表示的粒子符号为    ,它的最外层电子数为   
(3)由原子序数为8和13的两种元素组成的化合物是    (写化学式).
(4)元素周期表同一横行元素的排列规律是从左至右   

查看答案和解析>>

科目: 来源:2009-2010学年湖北省仙桃实验中学九年级(上)期末化学试卷(解析版) 题型:填空题

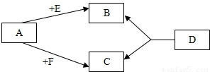
已知A、E、F是单质,B、C、D是化合物,它们分别是由碳、氢、氧三种元素中的一种或者几种组成.其中B是相对分子质量最小的氧化物,D物质很不稳定,容易分解生成B和C,它们之间的转化关系如图所示.
(1)则A、E的化学式为A    ,E   
(2)请你写出以下变化的化学方程式:
A+F→C   
D→B+C   

查看答案和解析>>

科目: 来源:2009-2010学年湖北省仙桃实验中学九年级(上)期末化学试卷(解析版) 题型:解答题

下列装置常用于实验室里制备和收集气体,据此回答下列问题:

(1)仪器a的名称是______;
(2)加热氯酸钾和二氧化锰混合物制氧气时,发生反应的化学方程式为:______△2KCl+3O2

查看答案和解析>>

科目: 来源:2009-2010学年湖北省仙桃实验中学九年级(上)期末化学试卷(解析版) 题型:解答题

金属钠很软,可以用刀切割.切开外皮后,可以看到钠具有银白色的金属光泽.钠是热和电的良导体.钠的密度是0.97g/cm3,比水的密度小,钠的熔点是97.81℃,沸点是882.9℃.将金属钠放入水中,可以反应生成NaOH和H2;钠跟氧气混合加热生成淡黄色的过氧化钠(Na2O2)固体,钠跟CO2在加热条件下反应生成碳酸钠和单质碳.
(1)试写出钠跟水反应的化学方程式______.
(2)小刘同学用图A装置做钠跟氧气反应实验,观察到生成物中出现黑色固体,则该黑色固体是______(填化学式),试写出相应的化学反应方程式______ 2Na2CO3+C

查看答案和解析>>

科目: 来源:2009-2010学年湖北省仙桃实验中学九年级(上)期末化学试卷(解析版) 题型:解答题

小强同学在化学氧自救器的说明书中看到“人呼出气体中的二氧化碳与自救器药罐中的生氧剂(超氧化钾K02)接触能产生氧气”后,对自救器内发生的化学反应原理产生了探究欲望.在老师指导下,小强与同学们展开了以下两个实验探究活动,请你参
与.(信息:氢氧化钠溶液与二氧化碳的反应原理和澄清的石灰水与二氧化碳的反应原理相似:含碳酸根的物质与稀盐酸的反应原理和石灰石与稀盐酸的反应原理相似.)
活动1:用下图所示的由a、b、c、d组合成的成套装置和有关药品制取并收集氧气
(1)用石灰石与稀盐酸制取二氧化碳,则a装置中发生反应的化学方程式为:______.
(2)用C装置中的氢氧化钠溶液吸收未与超氧化钾反应的二氧化碳.请写出氢氧化钠
与二氧化碳反应的化学方程式______.
活动Ⅱ:探究二氧化碳与超氧化钾反应除生成氧气还生成什么其它物质?
【老师提示】二氧化碳与超氧化钾反应的生成物只有氧气和另一种化合物.
【作出猜想】二氧化碳与超氧化钾反应生成的化合物到底是哪种物质?
小强作出了以下三种猜想:
①碳酸;    ②是氢氧化钾;    ③是一种碳酸盐.
通过对与反应物有关的元素组成的分析,小影同学认为猜想①和②一定是错误的,理
由是______.
【进行试验】同学们通过以下实验证小强同学的另一个猜想.
实验步骤实验现象实验结论
将二氧化碳与超氧化钾反应后的固体_______.____________________猜想③是正确的,二氧化碳与超氧化钾反应的化学方程式为___________.
【交流与讨论1(1)老师指出:人呼出的气体中含有的水分也能与超氧化钾反应生成氧
气.据此鉴定氧自救器药罐中生氧剂超氧化钾是否需要更换的简便的化学方法可简述:______.
(2)化学氧自救器能达到氧自救的目的,其化学反应原理可简述为______.

查看答案和解析>>

科目: 来源:2009-2010学年湖北省仙桃实验中学九年级(上)期末化学试卷(解析版) 题型:解答题

目前流行的甲型H1N1流感病毒,使得抗病毒药物达菲(Tamiflu)再次受到人们的“关注”.达菲可由中药八角中提取的莽草酸( shikimicacid)为原料合成,莽草酸的化学式为C7H10O5.请回答下列问题:
(])莽草酸中碳、氢、氧三种元素的原子个数比为 ______.
(2)莽草酸的相对分子质量为 ______.
(3)莽草酸中碳元素的质量分数为 ______(保留一位小数).

查看答案和解析>>

科目: 来源:2009-2010学年湖北省仙桃实验中学九年级(上)期末化学试卷(解析版) 题型:解答题

我国约在南北朝时就开始冶炼黄铜.黄铜是铜和锌的合金(Cu-Zn),它可用来制造电器零件及日用品.为了测定某黄铜样品中铜的质量分数(不考虑黄铜中的其他杂质),现将30mI.稀盐酸分三次加入到10g黄铜样品粉末中,每次充分反应后,测定生成氢
气的质量,实验数据见下表:
第一次第二次第三次
加入盐酸的体积/mL101010
生成氢气的质量/g0.08m0.04
试求:
(1)m=______.
(2)此黄铜样品中铜的质量分数是多少?

查看答案和解析>>

科目: 来源:2008-2009学年福建省泉州市晋江市子江中学九年级(上)期末化学试卷(三)(解析版) 题型:选择题

合理利用资源是当今世界所关注的话题.下列做法中合理的是( )
A.深埋金属废弃物
B.设计雨水回收系统
C.大量开采石油用作燃料
D.直接利用工业废水灌溉农田

查看答案和解析>>

同步练习册答案