相关习题
0 76776 76784 76790 76794 76800 76802 76806 76812 76814 76820 76826 76830 76832 76836 76842 76844 76850 76854 76856 76860 76862 76866 76868 76870 76871 76872 76874 76875 76876 76878 76880 76884 76886 76890 76892 76896 76902 76904 76910 76914 76916 76920 76926 76932 76934 76940 76944 76946 76952 76956 76962 76970 211419
科目:
来源:《第3章 物质构成的奥秘》2011年单元测试卷(9)(解析版)
题型:填空题
现有①氢气;②锰酸钾;③二氧化锰;④氯化钠;⑤自来水;⑥高锰酸钾加热后的固体剩余物六种物质,
请用序号填空:
(1)属于混合物的有: ;(2)属于单质的是: ;
(3)属于化合物的有: ;(4)属于氧化物的有: .
查看答案和解析>>
科目:
来源:《第3章 物质构成的奥秘》2011年单元测试卷(9)(解析版)
题型:填空题
判断下列化学符号中数字“2”所表示的意义,将其序号填在相应的横线上:
a.Ca
2+;b.NO
2;c.2NO;d.

O;e.2SO
42-.
(1)表示分子个数的是
.
(2)表示一个离子所带电荷的是
.
(3)表示元素化合价的是
.
(4)表示一个分子中含有的原子个数的是
.
(5)表示离子个数的是
.
查看答案和解析>>
科目:
来源:《第3章 物质构成的奥秘》2011年单元测试卷(9)(解析版)
题型:填空题
地壳中含量最多的金属元素是 ,空气中含量最多的气体单质化学式是 ,人体中含量最多的元素是 ,太阳中最丰富的元素是 ,地球表面3/4覆盖的物质化学式是 .
查看答案和解析>>
科目:
来源:《第3章 物质构成的奥秘》2011年单元测试卷(9)(解析版)
题型:填空题
已知镁元素的原子结构示意图.请回答:
(1)(+12)表示的意义
;
(2)镁元素的原子在化学反应中易
电子(填“获得”或“失去”),形成
离子(填“阴”或“阳”),镁离子的符号表示为
.
(3)由此可以得出:原子在失去最外层电子或在最外层得到电子达到稳定结构后,一定不会发生改变的有
.
①元素的种类;②元素的化学性质;③相对原子质量;④粒子的电性;⑤原子核;⑥最外层电子数;⑦电子层数;⑧核外电子总数;⑨质子个数.

查看答案和解析>>
科目:
来源:《第3章 物质构成的奥秘》2011年单元测试卷(9)(解析版)
题型:解答题
目前,一些发达国家已基本采用新一代饮用水消毒剂ClO2,有的国家还颁布了强制使用ClO2的法律和法规,请回答以下问题:
(1)ClO2读作______,它是由______(几种)种元素组成的;
(2)ClO2中氯元素的化合价为______.
查看答案和解析>>
科目:
来源:《第3章 物质构成的奥秘》2011年单元测试卷(9)(解析版)
题型:解答题
如图所示,上瓶盛的是空气,下瓶盛的是红棕色的二氧化氮气体.当抽出玻璃片后,会观察到红棕色气体逐渐扩散到上瓶,同时下瓶颜色逐渐______,最后,上、下两瓶颜色______.此现象说明______.当两瓶气体混合后微粒______(填“继续”或“停止”)运动.

查看答案和解析>>
科目:
来源:《第3章 物质构成的奥秘》2011年单元测试卷(9)(解析版)
题型:解答题
下表列出了部分人体中含量较多元素的原子结构示意图.请据表回答下列问题

(1)属于第二周期的元素是______.(填元素名称)
(2)氯元素的核电荷数是______;
(3)金属钠、钾的化学性质有许多相似之处,其原因是______.
(4)以上元素中能组成的AB
2型化合物是______.(填化学式)
查看答案和解析>>
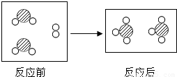
科目:
来源:《第3章 物质构成的奥秘》2011年单元测试卷(9)(解析版)
题型:解答题
图形象地表示了在高温催化剂条件下,某化学反应前后反应物与生成物分子及其数目的变化,其中表示硫原子,表示氧原子,则该反应的化学符号表达式为:______△三氧化硫

查看答案和解析>>
科目:
来源:《第3章 物质构成的奥秘》2011年单元测试卷(9)(解析版)
题型:填空题
在使用体温计测量体温时,若不慎将体温计打破,撒落出来的汞产生的汞蒸气会对人体有危害.此时可以用些硫粉撒在上面,使硫与汞发生化合反应生成固体硫化汞(HgS).
(1)写出硫与汞发生化学反应的文字表达式: ;
(2)用分子、原子的观点解释体温计测量体温时汞柱上升现象. .
查看答案和解析>>
科目:
来源:《第3章 物质构成的奥秘》2011年单元测试卷(9)(解析版)
题型:解答题
(1)向容积为250 mL的细颈玻璃仪器A中加水至虚线处,再滴几滴红墨水,一段时间后,A中的现象是______,说明______.
(2)继续向A中加酒精至凹液面最低处正好与刻度线相切.塞紧玻璃塞,将A中液体倒转摇匀,重复2次.静置一段时间后,A中的现象为______,说明______.仪器A细颈部的作用是______.

查看答案和解析>>