相关习题
 0  76996  77004  77010  77014  77020  77022  77026  77032  77034  77040  77046  77050  77052  77056  77062  77064  77070  77074  77076  77080  77082  77086  77088  77090  77091  77092  77094  77095  77096  77098  77100  77104  77106  77110  77112  77116  77122  77124  77130  77134  77136  77140  77146  77152  77154  77160  77164  77166  77172  77176  77182  77190  211419 

科目: 来源:2009-2010学年河北省保定市九年级(上)期末化学模拟试卷(解析版) 题型:填空题

人类生命活动离不开的气态单质是     、液态氧化物是     、绿色植物发生光合作用所需的气体是     .(写化学式)

查看答案和解析>>

科目: 来源:2009-2010学年河北省保定市九年级(上)期末化学模拟试卷(解析版) 题型:填空题

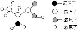
α-丙氨酸是组成人体蛋白质的氨基酸之一,其分子结构如下图所示,(注“-”表示原子之间相互连接.)则α-丙氨酸的化学式是    ,其相对分子质量是    ;碳、氢、氧、氮4种元素质量比是    ,氮元素的质量分数是   

查看答案和解析>>

科目: 来源:2009-2010学年河北省保定市九年级(上)期末化学模拟试卷(解析版) 题型:填空题

某种无色气体可能含有N2、CO、CO2、H2,使该混合气体依次通过紫色石蕊试液,没有变色.通过加热的CuO时有红色物质出现.再通过澄清石灰水时,石灰水无明显变化.则该混合气体中,一定含有    ,一定不含有    ,可能含有    .发生反应的化学方程式为   

查看答案和解析>>

科目: 来源:2009-2010学年河北省保定市九年级(上)期末化学模拟试卷(解析版) 题型:填空题

如右图所示,在玻璃燃烧匙中盛有一定量硫粉,金属丝用于加热(不和硫反应),球形容器内充满氧气,U形管内盛液态汞.反应前,两侧液面持平.给金属丝通电加热,使硫与容器中的氧气发生反应,此时,可以观察到U形管中水银柱左边高于右边.反应结束后,静置片刻,使容器内的温度恢复到反应前的温度.此时,可观察到U形管两侧的水银柱液面仍持平.简要回答下列问题:
(1)写出硫和氧气反应的化学方程式:   
(2)在反应进行中,U形管水银柱推向左管,其原因是   
(3)反应结束,恢复到反应前温度后,U形管两侧水银柱液面持平,原因是   

查看答案和解析>>

科目: 来源:2009-2010学年河北省保定市九年级(上)期末化学模拟试卷(解析版) 题型:填空题

饲养观赏鱼,可以陶冶人的情操,增进人们对生活的热爱.空运观赏鱼,必须密封.为了解决鱼的吸氧问题,可在水中加入过氧化钙(化学式CaO2),过氧化钙与水反应生成的是氢氧化钙和氧气.写出过氧化钙与水反应的化学方程式   

查看答案和解析>>

科目: 来源:2009-2010学年河北省保定市九年级(上)期末化学模拟试卷(解析版) 题型:解答题

2005年5月,我国科学家再次登珠成功,值得国人骄傲.科学家们在珠穆朗玛峰进行的科学考察中,发现东绒布冰川顶端较三十年前有明显的退缩,说明雪山正在融化,请用自己所学的知识来解释出现这种现象的可能原因,并提出两条建议来解决这一问题.

查看答案和解析>>

科目: 来源:2009-2010学年河北省保定市九年级(上)期末化学模拟试卷(解析版) 题型:解答题

近年来,我国发生了多起瓦斯爆炸和煤井爆炸事件,造成了重大的人员伤亡和经济损失,引起了社会的重视.了解瓦斯爆炸和煤井爆炸的原理是非常重要的,瓦斯特指可燃性气体,主要成分是甲烷,甲烷具有可燃性,它与空气混合在其爆炸极限内,遇明火会引起爆炸.瓦斯爆炸和煤井爆炸的原理相似,但“罪魁祸首”却不一样,而且造成的危害也不一样,煤井爆炸由于煤井内缺氧,爆炸时产生一种有剧毒的气体,即使井下人员没被塌方的矿石压死,也会被毒死.请简单说明煤井爆炸的原理,这种毒气是什么气体?根据上述原理写出两种爆炸的化学方程式.

查看答案和解析>>

科目: 来源:2009-2010学年河北省保定市九年级(上)期末化学模拟试卷(解析版) 题型:解答题

实验室我们常用石灰石与稀盐酸反应来制取二氧化碳气体.现有足量的碳酸钙质量分数为80%的石灰石和稀盐酸,若要制66克的二氧化碳至少需这种石灰石多少克?

查看答案和解析>>

科目: 来源:2009-2010学年河北省保定市九年级(上)期末化学模拟试卷(解析版) 题型:解答题

某火力发电厂以煤为燃料,充分燃烧后将热能转化为电能,其排出的废气中含有CO2、SO2、水蒸气等.已知SO2既能使品红溶液褪色,又能使澄清石灰水变混浊.因SO2有还原性,故还能被高锰酸钾溶液氧化而除去,无水硫酸铜与水由白变蓝.为了检验该发电厂排出的废气中的成分,用如图所示的装置进行实验.

(1)仪器连接的顺序为(填导管接口字母)______.
(2)根据______现象能证明有SO2存在.
(3)根据______中无明显变化和装置A中______现象证明有CO2存在.
(4)把装置E放置在最后,能否证明该废气中含有水蒸气?______,理由是______.
(5)装置B作用是______,装置D的作用是______.
(6)写出装置A中发生反应的化学方程式:______.

查看答案和解析>>

科目: 来源:2009-2010学年河北省保定市九年级(上)期末化学模拟试卷(解析版) 题型:解答题

本学期我们做了一些家庭小实验,回想一下,任举一个填写下表:
通过家庭实验你有哪些收获?______
实验名称 所需物品 简要步骤 现象、结论 


 
 






  

查看答案和解析>>

同步练习册答案