相关习题
 0  77020  77028  77034  77038  77044  77046  77050  77056  77058  77064  77070  77074  77076  77080  77086  77088  77094  77098  77100  77104  77106  77110  77112  77114  77115  77116  77118  77119  77120  77122  77124  77128  77130  77134  77136  77140  77146  77148  77154  77158  77160  77164  77170  77176  77178  77184  77188  77190  77196  77200  77206  77214  211419 

科目: 来源:2009-2010学年江苏省泰州市姜堰市九年级(上)期中化学试卷(解析版) 题型:填空题

生活处处有化学.请用下列物质的序号填空:
①浓盐酸②烧碱③碳酸氢钠④生石灰⑤硝酸钾
(1)常用于金属除锈的是    ;(2)常用于治疗胃酸过多的是   
(3)可用作化肥的是    ;(4)常用于干燥剂的是   
(5)属于碱的是   

查看答案和解析>>

科目: 来源:2009-2010学年江苏省泰州市姜堰市九年级(上)期中化学试卷(解析版) 题型:填空题

如图是A、B两种固体物质的溶解度曲线.
(1)10℃时,两种物质的溶解度大小关系是A    B.
(2)20℃时,将10g B物质加入50g水中充分溶解,所得溶液的质量是    g.
(3)若使A物质从它的饱和溶液中大量析出,最适宜的方法是    (填“冷却”或“蒸发”).
(4)30℃时,A与B的溶解度相等.把60℃的A、B两种饱和溶液分别降温到30℃,两溶液中溶质质量分数的大小关系是A    B.

查看答案和解析>>

科目: 来源:2009-2010学年江苏省泰州市姜堰市九年级(上)期中化学试卷(解析版) 题型:填空题

如图标出的是有关热水瓶的组成物质,请回答下列问题.
(1)所标物质中为金属材料的是   
(写一种即可),为有机合成材料的是   
(2)使用几天后,瓶胆内壁有水垢出现,这是因为水的硬度较大的缘故.请你写出鉴别硬水与软水的方法:   
(3)可用厨房中的一种常用物质(写名称)    除去瓶胆内壁的水垢(水垢的主要成分是CaCO3).
(4)生活中人们是把水煮沸了饮用的,你觉得这样做的作用是(写两点)
       

查看答案和解析>>

科目: 来源:2009-2010学年江苏省泰州市姜堰市九年级(上)期中化学试卷(解析版) 题型:填空题

如图是某厂家生产的熟黑芝麻包装袋上的部分说明,其中能提供能量的物质有        (填写两种即可);还缺少的一种营养素是    ;补充铁元素可以预防    .一般在人体内不能合成,要从食物中获得的一类营养素是   
品名:熟黑芝麻
包装材料:OPP、CPP
营养成分:(100g)
糖类≥15g
磷≥350mg
铁≥12mg
脂肪≥52g
蛋白质≥20g
钙≥1.5g
维生素E≥30mg

查看答案和解析>>

科目: 来源:2009-2010学年江苏省泰州市姜堰市九年级(上)期中化学试卷(解析版) 题型:填空题

某粒子的结构示意图为:该粒子可用符号    表示,它与镁离子形成化合物的化学式为   

查看答案和解析>>

科目: 来源:2009-2010学年江苏省泰州市姜堰市九年级(上)期中化学试卷(解析版) 题型:填空题

化学世界千变万化,请写出下列反应的化学方程式:
(1)测定空气中氧气含量时产生白烟的反应    
(2)实验室加热一种固体制取氧气    
(3)光合作用    
(4)不能用铁桶配制波尔多液的原因    

查看答案和解析>>

科目: 来源:2009-2010学年江苏省泰州市姜堰市九年级(上)期中化学试卷(解析版) 题型:填空题

在成都市公交车燃烧事故的原因调查中,多项证据显示,有人携带汽油上车.
(1)当空气中悬浮着一定量的汽油时,一个小火星就足以使其燃烧,这说明汽油的着火点较    (选填“高”或“低”);汽油主要成分的化学式为C8H18,完全燃烧时生成二氧化碳和水,写出反应的化学方程式   
(2)加油站必备的消防用品之一是沙子,用沙子灭火的原理是   
(3)乘坐汽车、火车等公共交通工具时,下列物品禁止携带的是    (填序号,可多选,下同).
A.鞭炮;B.瓶装饮料;C.书刊杂志;D.酒精
(4)这次事故引发了人们对公共交通消防安全问题的讨论,下列观点合理的是   
A.公交车上要配备消防器材;
B.公交车上坐椅用阻燃材料制成
C.对司乘人员进行消防安全知识培训.

查看答案和解析>>

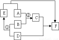
科目: 来源:2009-2010学年江苏省泰州市姜堰市九年级(上)期中化学试卷(解析版) 题型:填空题

A、D均为黑色固体(D为常见金属),B为胃酸的主要成分,C为蓝色溶液,D、E、F均为单质.右图为这些物质的转化关系,其中部分反应物、生成物、反应条件已省略.
(1)请写出下列物质的化学式:E    ,F   
(2)反应①除了生成E,另一生成物中的阳离子为    ,该反应的基本类型是   
(3)写出反应②的化学方程式   

查看答案和解析>>

科目: 来源:2009-2010学年江苏省泰州市姜堰市九年级(上)期中化学试卷(解析版) 题型:解答题

用所学知识解决实际问题:
在实验操作考试中,同学们用到HCl、Na2CO3、NaOH、Ba(NO32等溶液.实验结束时,老师指出,废液一定要进行无害化处理,尽量实现绿色排放.如何处理废液缸里的废液?同学们进行了讨论和试验:
①小明认为如果废液呈酸性或碱性,会腐蚀管道、污染水源.他取废液缸里的废液于试管中,观察到废液呈白色浑浊状态,用pH试纸测得废液的pH=9,此时废液显______性.
于是,小明向试管中加入稀盐酸,边加边测试,直到pH=7,同时观察到沉淀逐渐溶解.小明觉得废液经过如上处理后可以放心倒掉.这个实验过程中可能发生了多个复分解反应,其相关的化学方程式是(任写一个)______.
②小亮认为,小明的方案不完善,因为小明对废液中含有的Ba2+没有处理,而Ba2+是重金属离子,会造成更严重的污染.小亮采用了另外一种方案:他另取废液缸里的废液于试管中,向试管中加入______,直至废液pH=7,且沉淀不再增加.他觉得废液这样处理后才可以倒掉.
③老师肯定了小亮的方案,因为他考虑得更全面.小亮方案的优点在于______.

查看答案和解析>>

科目: 来源:2009-2010学年江苏省泰州市姜堰市九年级(上)期中化学试卷(解析版) 题型:解答题

小林仔细阅读加碘食盐(食盐中加入了碘酸钾)包装袋上的说明,提出问题与同学讨论并进行实验探究.
问题一:食盐加碘可以有效地预防______.
问题二:食盐是比较稳定的,而说明中强调“防热”是否因为受热会造成碘的损失?
[实验一]探究温度对碘损失率的影响
老师指导他们将一定浓度的碘酸钾溶液分成5等份,于不同温度下加热十分钟后,用硫代硫酸钠标准溶液测定碘酸钾浓度,计算碘损失率并记录如下:
温度30℃水浴50℃水浴80℃水浴100℃水浴煮沸
碘损失率(%)0.30.6715.56
分析上表可得出的结论是______.
实验后,小林建议妈妈烧菜时最好是菜出锅前再放碘盐.
问题三:烧菜时加醋对碘的损失率是否也有影响?
[实验二]探究酸碱性对碘损失率的影响
(1)此组对照实验,要控制在碘酸钾溶液的浓度和质量、加热的______和______均相同,溶液的______不同的条件下进行.
(2)实验中需要调节溶液的酸碱性,下列物质不能选用的是______(填序号).
A.氢氧化钠B.纯碱粉末C.食盐晶体D.食醋.

查看答案和解析>>

同步练习册答案