相关习题
 0  77201  77209  77215  77219  77225  77227  77231  77237  77239  77245  77251  77255  77257  77261  77267  77269  77275  77279  77281  77285  77287  77291  77293  77295  77296  77297  77299  77300  77301  77303  77305  77309  77311  77315  77317  77321  77327  77329  77335  77339  77341  77345  77351  77357  77359  77365  77369  77371  77377  77381  77387  77395  211419 

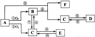
科目: 来源:2006-2007学年新人教版九年级(上)期末化学试卷(1)(解析版) 题型:填空题

有A、B、C、D、E、F六种物质,其中A、B、C、D、E五种物质的组成中均含有同一种元素,A、F为单质,其余为化合物,D是鸡蛋壳及石灰石的主要成分.它们之间有如下转化关系(一些必要的反应物和反应条件已略去):

请回答:
(1)写出A和D的名称:A    ,D   
(2)向E的溶液中滴加紫色石蕊溶液的现象是   
(3)写出反应④的化学方程式:        等;
(4)指出反应⑤在物质鉴别中的应用:   
(5)从反应①②可得到的启示是:   

查看答案和解析>>

科目: 来源:2006-2007学年新人教版九年级(上)期末化学试卷(1)(解析版) 题型:解答题

有①镊子、②烧杯、③试管、④胶头滴管、⑤药匙、⑥燃烧匙、⑦坩埚钳、⑧10mL量筒、⑨100mL量筒、⑩托盘天平等仪器.
请为下列实验操作各选一种最必要的仪器(填写相应的序号):
(1)吸取或滴加少量液体时用 ______;
(2)可以直接在酒精灯火焰上加热的玻璃仪器是 ______;
(3)硫在氧气中燃烧的实验用 ______;
(4)量取8mL的水用 ______.

查看答案和解析>>

科目: 来源:2006-2007学年新人教版九年级(上)期末化学试卷(1)(解析版) 题型:解答题

下图为甲、乙、丙三位同学探究物质燃烧条件的实验

(相关信息:当吸入或接触五氧化二磷粉尘时,能与粘膜表层、眼、皮肤的水分反应变成磷酸,对局部有强烈的腐蚀性刺激作用,严重者可引起中毒性肺炎、肺水肿.)请根据上述实验回答下列问题:
(1)白磷燃烧的现象是______;
(2)为了防止空气污染,应选择______同学的实验方案最好;
(3)铜片上的白磷能燃烧,而浸在热水中的白磷却不能燃烧,说明______;
(4)铜片上的红磷不能燃烧说明了______;
(5)用大烧杯罩住白磷燃烧的目的是______.

查看答案和解析>>

科目: 来源:2006-2007学年新人教版九年级(上)期末化学试卷(1)(解析版) 题型:解答题

下列实验装置是初中化学实验室常用装置(除A外).

Ⅰ:根据你的实验操作体会和认识,回答下列问题:
(1)选择C与G或______组合成装置可制取干燥的氧气.
(2)选B作制取气体的发生装置,应满足的条件是______.
(3)若用G装置收集二氧化碳,从发生装置产生的二氧化碳应从G的______(填“左”或“右”)端通入,用来检验二氧化碳是否集满的方法是______.
(4)C装置稍作改进可以完成木炭还原氧化铜实验,改进方法是______.
Ⅱ:根据你对实验原理的理解和研究,尝试解答下列问题:
实验室利用装置A,将甲酸(HCOOH)在浓硫酸的脱水作用下,制取CO,实验中为了使反应速度明显加快,常先对浓硫酸进行预热,再向浓硫酸中滴加甲酸.反应的化学方程式为:HCOOHH2O+CO↑.
(5)收集CO的装置应选用______(填序号)装置.
(6)你认为点燃CO前必须进行的操作是______.
(7)你认为与制取二氧化碳相比,制取CO的实验要注意______.

查看答案和解析>>

科目: 来源:2006-2007学年新人教版九年级(上)期末化学试卷(1)(解析版) 题型:解答题

近年来,“非典”、“禽流感”等由病毒引起的传染病一直困扰着人类,消毒剂的选择、利用以及相关问题的探讨与研究就成了热门话题.常见的消毒剂有:84消毒液、过氧乙酸(CH3COOOH)溶液、双氧水溶液、醋酸(CH3COOH)溶液…以下是某班同学开展研究性学习的相关问题:
(1)为了便于研究,小明计算出过氧乙酸的相对分子质量=______;
(2)小白问小明:相同分子数的过氧乙酸和醋酸,所含氧原子的个数比是多少?小明答______
(3)小正想配制2%的双氧水溶液,已经有4%的双氧水溶液100g,所需水的质量为______g;
(4)化学实验室常用3%的双氧水溶液来制取氧气,3%的双氧水溶液中,氢元素的质量分数为______%,当双氧水完全分解时,液体中氢元素的质量分数增加______%.(最后结果保留到小数点后l位,计算过程中保留二位小数)

查看答案和解析>>

科目: 来源:2006-2007学年新人教版九年级(上)期末化学试卷(1)(解析版) 题型:解答题

某校研究性学习小组得到一块铁制品,不知它是生铁还是钢,几位同学设计了一个实验来进行鉴定.他们用200ml稀盐酸(密度为1.04g/cm3)分四次加入到金属块上,生成的氢气能被完全收集起来进行称量,实验数据记录在下表(此块制品假设只是由铁和单质碳两种物质组成的,碳不与盐酸反应也不溶于盐酸).生铁含碳质量分数为2%~4.3%.)
次数加入盐酸的量生成H2的总质量剩余固体质量
150ml0.2g
250ml0.4g
350ml0.6g0.2g
450ml0.6g0.2g
仔细阅读分析表中数据后解答:
(1)第______次加入盐酸并充分反应后,制品中的铁和盐酸恰好完全反应.
(2)通过计算回答:这块铁制品中单质碳的质量分数为多少?它是生铁还是钢?
(3)求所用的盐酸溶液中HCl的质量分数?

查看答案和解析>>

科目: 来源:2010-2011学年新人教版九年级(上)期中化学试卷(6)(解析版) 题型:选择题

下列变化中,属于化学变化的是( )
A.沙尘暴袭击
B.冰雪融化
C.森林大火
D.山体滑坡

查看答案和解析>>

科目: 来源:2010-2011学年新人教版九年级(上)期中化学试卷(6)(解析版) 题型:选择题

从人类生存的环境考虑,未来理想的燃料是( )
A.氢气
B.天然气
C.煤
D.石油

查看答案和解析>>

科目: 来源:2010-2011学年新人教版九年级(上)期中化学试卷(6)(解析版) 题型:选择题

自行车常生锈,这是因为它( )
A.经常被风吹雨淋
B.表面经常涂油
C.表面镀锌
D.钢中含碳

查看答案和解析>>

科目: 来源:2010-2011学年新人教版九年级(上)期中化学试卷(6)(解析版) 题型:选择题

家庭、工厂、机关等进行室内外装饰,普遍采用大理石,其主要化学成分是( )
A.MgCO3
B.Ca(OH)2
C.CaCO3
D.CaO

查看答案和解析>>

同步练习册答案