相关习题
0 77428 77436 77442 77446 77452 77454 77458 77464 77466 77472 77478 77482 77484 77488 77494 77496 77502 77506 77508 77512 77514 77518 77520 77522 77523 77524 77526 77527 77528 77530 77532 77536 77538 77542 77544 77548 77554 77556 77562 77566 77568 77572 77578 77584 77586 77592 77596 77598 77604 77608 77614 77622 211419
科目:
来源:《第8单元 海水中的化学》2010年单元测试卷(2)(解析版)
题型:选择题
如图是a、b两种物质的溶解度曲线.室温时,将盛有a、b饱和溶液的试管分别放入烧杯内的水中,均无晶体析出.当向烧杯内的水中加入硝酸铵固体或浓硫酸后,下图试管内所示现象正确的是( )

A.

B.

C.

D.

查看答案和解析>>
科目:
来源:《第8单元 海水中的化学》2010年单元测试卷(2)(解析版)
题型:选择题
20℃时,分别向盛有10g水的两支试管中,加入等质量的甲、乙两种固体物质,使其充分溶解,可观察到如右图所示的现象.下列分析不正确的是( )

A.20℃时,“A”试管中的溶液一定是饱和溶液;
B.20℃时,“B”试管中的溶液一定是不饱和溶液;
C.右图中表示甲物质的溶解度曲线的是“b”
D.要“A”试管中剩余的固体继续溶解可采用的方法是升高温度或增加溶剂
查看答案和解析>>
科目:
来源:《第8单元 海水中的化学》2010年单元测试卷(2)(解析版)
题型:选择题
用氯化钠配制100g溶质质量分数为0.9%的生理盐水,现有下列操作:①配制溶液;②称取氯化钠固体;③过滤;④量取蒸馏水;⑤计算.正确的操作顺序是( )
A.①②③④
B.⑤②④①
C.⑤①②④
D.③②④①
查看答案和解析>>
科目:
来源:《第8单元 海水中的化学》2010年单元测试卷(2)(解析版)
题型:选择题
氯化钠和碳酸钠晶体的溶解度(0℃~30℃)如下表所示:
| 0℃ | 10℃ | 20℃ | 30℃ |
| NaCl(g) | 35.7 | 35.8 | 36.0 | 36.3 |
| Na2CO3?10H2O(g) | 7.0 | 12.5 | 21.5 | 38.8 |
根据上表分析下列几种说法:
①碳酸钠晶体的溶解度受温度影响较大;
②将含水各1OOg的氯化钠与碳酸钠的饱和溶液,从30℃降至O℃,析出晶体的质量相等;
③氯化钠和碳酸钠晶体的溶解度相等时所对应的温度在2O℃~30℃之间;
④欲从含有少量NaCl杂质的碳酸钠浓溶液中分离出碳酸钠晶体,应采取降低溶液温度的方式.
上述说法中,完全正确的一组是( )
A.①②
B.①②③
C.①③④
D.①②④
查看答案和解析>>
科目:
来源:《第8单元 海水中的化学》2010年单元测试卷(2)(解析版)
题型:选择题
为验证物质间化学反应的规律,小红同学用甲、乙、丙三种溶液分别进行了下面的实验:
①甲+K2SO4溶液②乙+KCl溶液③丙+KOH溶液
经分析发现:三个反应中都有KNO3生成.
由此推断:甲、乙、丙三种溶液所对应的物质是( )
A.HNO3,AgNO3,NaNO3
B.Ba(OH)2,NaNO3,HNO3
C.Ba(NO3)2,HNO3,AgNO3
D.Ba(NO3)2,AgNO3,HNO3
查看答案和解析>>
科目:
来源:《第8单元 海水中的化学》2010年单元测试卷(2)(解析版)
题型:选择题
下列除去杂质的方法中,正确的是( )
A.CaCl2溶液,HCl------过量CaCO3,过滤
B.NaOH溶液,Ca(OH)2------过量Na2CO3溶液,过滤
C.CaO,CaCO3----------加水溶解、过滤
D.Na2CO3,NaHCO3-----------加入稀盐酸
查看答案和解析>>
科目:
来源:《第8单元 海水中的化学》2010年单元测试卷(2)(解析版)
题型:填空题
根据KNO
3和NaCl的溶解度曲线,回答下列问题:
(1)10℃时KNO
3的溶解度
NaCl溶解度(填“>”、“<”或“=”).
(2)t℃时,将mg KNO
3、ng NaCl 分别溶解在20mL水中恰好饱和,则m
n(填“>”、“<”或“=”).

查看答案和解析>>
科目:
来源:《第8单元 海水中的化学》2010年单元测试卷(2)(解析版)
题型:填空题
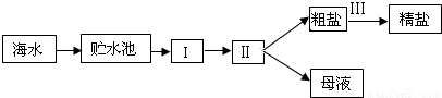
我国有较长的海岸线,海洋资源十分丰富.以下是对海水资源的部分利用.
(1)海水中含量最高的盐是
,海水经
结晶可获得粗盐.
工业上采用如下的流程从海水中提取精盐:

上述流程中Ⅰ、Ⅱ、Ⅲ分别是
、
、
.
(2)粗盐中含有泥沙、硫酸镁、氯化钙等杂质.将粗盐溶于水,然后再进行如下操作即可得到较纯的氯化钠:①过滤;②加过量的NaOH溶液;③加适量的盐酸;④加过量的Na
2CO
3溶液;⑤加过量的BaCl
2溶液.正确的操作顺序是
.
(3)从“晒盐”后的母液(卤水)中提取重要金属镁.提取镁的步骤如下:

提取Mg的过程中,试剂A最好选用
,试剂B选用
.电解无水MgCl
2的过程中
能转化为
能.
查看答案和解析>>
科目:
来源:《第8单元 海水中的化学》2010年单元测试卷(2)(解析版)
题型:填空题
下面的表格中列出了氯化铵在不同温度下的溶解度:
| 温度/℃ | | 10 | 20 | 30 | 40 | 50 | 60 | 70 | 80 |
| 溶解度/g | 29.4 | 33.3 | 37.2 | 41.4 | 45.8 | 50.4 | 55.2 | 60.2 | 65.6 |
(1)从表中可得到的一条信息是
.
(2)在20℃时,向100g水中加入50g氯化铵,形成氯化铵的
(填“饱和”或“不饱和“)溶液,将其温度升高至60℃时,溶液的质量为
g,该溶液中溶质与溶剂的质量比为
.
查看答案和解析>>
科目:
来源:《第8单元 海水中的化学》2010年单元测试卷(2)(解析版)
题型:解答题
食盐和面碱(碳酸钠)、酱油和黑醋(黑色的醋)都是家庭中常见的烹调用品.请你利用家中现有的条件,将它们鉴别开.每组物质都要简述两种物理或化学鉴别方法、实验步骤、现象和结论.
(1)______.
(2)______.
查看答案和解析>>