相关习题
 0  77973  77981  77987  77991  77997  77999  78003  78009  78011  78017  78023  78027  78029  78033  78039  78041  78047  78051  78053  78057  78059  78063  78065  78067  78068  78069  78071  78072  78073  78075  78077  78081  78083  78087  78089  78093  78099  78101  78107  78111  78113  78117  78123  78129  78131  78137  78141  78143  78149  78153  78159  78167  211419 

科目: 来源:2008-2009学年沪教版实验中学九年级(全册)期末化学模拟试卷(解析版) 题型:填空题

举例证明下列结论是错误的(用化学方程式表示):
(1)有一种单质和一种化合物生成的化学反应一定是置换反应   
(2)氧化反应一定是化合反应   
(3)有盐和水生成的反应一定是中和反应   

查看答案和解析>>

科目: 来源:2008-2009学年沪教版实验中学九年级(全册)期末化学模拟试卷(解析版) 题型:填空题

图是A、B、C三种固体物质(固体组成与溶质相同)的溶解度曲线.在t1℃时,将质量为a g的A、B、C三种物质分别加入100g水中,根据图示回答下列问题:
(1)三种物质中,随温度升高溶解度减小的物质是   
(2)t1℃时,所得三种物质的溶液中为不饱溶液的是   
(3)若使这三种溶液溶质的质量分数相等,则温度应由t1℃升至    ℃;
(4)若将温度由t1℃升至t4℃时,三种溶液中溶质质量分数的大小关系为   

查看答案和解析>>

科目: 来源:2008-2009学年沪教版实验中学九年级(全册)期末化学模拟试卷(解析版) 题型:填空题

对于稀硫酸而言,溶质的质量分数越大,溶液的酸性越强.常温下,10%的稀硫酸的pH    (填“大于”、“小于”或“等于”)2%的稀硫酸的pH.如果要使稀硫酸的pH升高,你采取的方法有:
(1)不发生化学反应的方法   
(2)有化学反应发生的方法(要求各种方法中所选的物质的类别不同)           

查看答案和解析>>

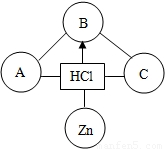
科目: 来源:2008-2009学年沪教版实验中学九年级(全册)期末化学模拟试卷(解析版) 题型:填空题

构建知识网络是一种重要的学习方法.下图是关于盐酸化学性质的知识网络,“-”表示相连的两种物质能发生反应,“→”表示一种物质转化成另一种物质,A、C属于不同类别的化合物.完善这个知识网络:
(1)写出A、B、C的化学式:
A    ;B    ;C   
(2)根据自己得出的知识网络写出一个复分解反应化学方程式:   

查看答案和解析>>

科目: 来源:2008-2009学年沪教版实验中学九年级(全册)期末化学模拟试卷(解析版) 题型:解答题

实验室常用下列装置研究气体的制取和性质,根据所学知识回答下列问题.

(1)写出实验室制取氧气的一个化学方程式______ 2H2O+O2

查看答案和解析>>

科目: 来源:2008-2009学年沪教版实验中学九年级(全册)期末化学模拟试卷(解析版) 题型:解答题

某学生为了测定实验室中一瓶因保存不善而部分变质的氧氧化钠中碳酸钠的质量分数,设计了如下图所示的装置(图中铁架台已略去).实验是在27℃、110kPa下进行的,实验步骤如下:

步骤1:按图连接好装置;
步骤2:用天平准确称取氢氧化钠样品2g,放A中试管内,向B中集气瓶内倒入饱和二氧碳水溶液到瓶颈处;
步骤3:向分液漏斗中倒入稀硫酸,打开活塞,让稀硫酸滴入试管中至过量,关闭活塞.反应结束后,通过测量量筒中收集到饱和二氧化碳水溶液的体积,共产生气体220mL.
(1)判断氢氧化钠发生变质的实验现象是______;氢氧化钠变质的原因是______;因此实验室中氢氧化钠必须______保存.
(2)在实验步骤1与步骤2之间,缺少一实验步骤,该实验步骤是______.
(3)B中集气瓶盛装饱和二氧化碳的水溶液不能用水代替,其理由是______.
(4)判断实验步骤3中滴入的稀硫酸已过量的标志是______.
(5)氢氧化钠样品中碳酸钠质量分数为______(此时二氧化碳的密度  为1.8g/L)  (写出计算过程)
(6)用上述装置不能测定已部分变质的氢氧化钠样品中氢氧化钠的质量分数,其理由是______.

查看答案和解析>>

科目: 来源:2008-2009学年沪教版实验中学九年级(全册)期末化学模拟试卷(解析版) 题型:解答题

在化学实验技能考试做完“二氧化碳的制取和性质”实验后,废液桶中有大量的盐酸与氯化钙的混合溶液(不考虑其他杂质).为避免污染环境并回收利用废液,化学兴趣小组做了如下实验:
取废液桶上层清液共11.88kg,向其中加入溶质质量分数为21.2%的碳酸钠溶液.所得溶液pH与加入的碳酸钠溶液的质量关系如图所示:
(1)通过如图可知,当碳酸钠溶液质量加到______kg时,废液恰好处理完(盐酸与氯化钙的混合溶液完全转化成氯化钠溶液).
(2)此时所得溶液能否用于该校生物兴趣小组的小麦选种(选种液要求氯化钠的溶质质量分数在10%一20%之间)?请通过计算回答.

查看答案和解析>>

科目: 来源:《4.1 燃烧与灭火》2010年同步练习(3)(解析版) 题型:选择题

关于燃烧的说法正确的是( )
A.燃烧一定要点燃
B.燃烧是发光、发热、冒烟的现象
C.凡有发光、发热现象的变化都叫燃烧
D.燃烧一定是化学变化

查看答案和解析>>

科目: 来源:《4.1 燃烧与灭火》2010年同步练习(3)(解析版) 题型:选择题

要使可燃物燃烧,必须具备( )
A.较高的温度
B.充足的氧气
C.较高的温度,充足的氧气
D.温度达到可燃物的着火点和充足的氧气

查看答案和解析>>

科目: 来源:《4.1 燃烧与灭火》2010年同步练习(3)(解析版) 题型:选择题

某物质在空气中当温度低于150℃时不能燃烧,则它的着火点( )
A.高于150℃
B.高于或等于150℃
C.为150℃
D.不低于150℃

查看答案和解析>>

同步练习册答案