相关习题
 0  78188  78196  78202  78206  78212  78214  78218  78224  78226  78232  78238  78242  78244  78248  78254  78256  78262  78266  78268  78272  78274  78278  78280  78282  78283  78284  78286  78287  78288  78290  78292  78296  78298  78302  78304  78308  78314  78316  78322  78326  78328  78332  78338  78344  78346  78352  78356  78358  78364  78368  78374  78382  211419 

科目: 来源:2008-2009学年北京市宣武区九年级(上)期末化学试卷(解析版) 题型:选择题

2A+3B═C+3D中A和C的相对分子质量比为3:38,D的相对分子质量为2.已知一定量的A和B恰好完全反应,生成34.2gC和0.6gD,则B的相对分子质量为( )
A.36.5
B.63
C.98
D.294

查看答案和解析>>

科目: 来源:2008-2009学年北京市宣武区九年级(上)期末化学试卷(解析版) 题型:填空题

化学知识在生活中到处可见.
(1)合理搭配饮食是我们的健康理念.比如早餐搭配:牛奶、面包、黄油、水果等,其中含有的营养素有油脂、糖类、蛋白质、维生素、无机盐和    等.
(2)如图所示生活用品中,属于有机合成材料的是(填字母)   

(3)目前使用的能源多为化石燃料,如天然气、石油和    .由于化石燃料属于不可再生资源、燃烧的产物有污染,所以人们正在利用和开发新的能源,如氢能、    和太阳能等.氢能是理想的清洁能源,科学家正研究使用太阳能发电的方法将水分解得到氢气,该化学方程式为    .推广使用太阳能是利用了太阳能(填字母)    的特点.
A.取之不尽;B.清洁能源;C.不可再生能源;D.可转变成电能、热能.

查看答案和解析>>

科目: 来源:2008-2009学年北京市宣武区九年级(上)期末化学试卷(解析版) 题型:填空题

水是生命的源泉,也是不可缺少的资源.
(1)下列物质中属于纯净物的是(填字母)   
A.汽水       B.蒸馏水   C.矿泉水     D.水蒸汽
(2)如图为活性炭净水器示意图.活性炭的作用是   
(3)自来水厂净水过程中需加消毒剂.二氧化氯(ClO2)是新一代饮用水的消毒剂,其中氯元素的化合价为    .工业上常用氯酸钠(NaClO3)与稀盐酸反应制取二氧化氯气体,其产物还有氯气(Cl2)、氯化钠和水.该反应的化学方程式为   

查看答案和解析>>

科目: 来源:2008-2009学年北京市宣武区九年级(上)期末化学试卷(解析版) 题型:填空题

金属与人类生活、生产密不可分.
(1)我国多使用铁锅炒菜,这是利用了铁的    性质;专家建议市民多食用动物肝脏、芹菜等食物,这些食物富含铁,可减少缺铁性贫血疾病的发生,这里的“铁”是指(填字母)   
A.原子B.元素C.单质
(2)清末铝制艺术品至今保存完好,艺术品未被锈蚀的主要原因是(填字母)   
A.铝不易被氧化
B.铝的金属活动性比较弱
C.铝表面的氧化膜具有保护作用
(3)图1为金属与过量盐酸反应的关系图,其中A、B两条直线分别代表镁、铁、锌三种金属中的两种.

①A代表的是(填元素符号)    ;写出B与盐酸反应的化学方程式   
②将上述的金属A与盐酸放入烧杯中,称得它们的总质量为M克,反应结束后再称量其质量为N克.请你在坐标系(图2)中画出反应过程中氯元素质量分数的变化曲线.

查看答案和解析>>

科目: 来源:2008-2009学年北京市宣武区九年级(上)期末化学试卷(解析版) 题型:填空题

下表是部分元素的有关信息.请根据表中的信息回答问题:
元素名称及符号钠Na镁Mg硫S氯Cl溴Br
最外层电子数12677
常见
化合价
最高正价+1+2+6+7+7
负价-2-1-1
(1)从上表中可以看出元素的化合价与最外层电子数存在着关联,其中的关联是:
最高正价    、非金属的负价   
(2)化学性质相似的元素是(填元素符号)   
(3)溴化亚铁的化学式是   

查看答案和解析>>

科目: 来源:2008-2009学年北京市宣武区九年级(上)期末化学试卷(解析版) 题型:填空题

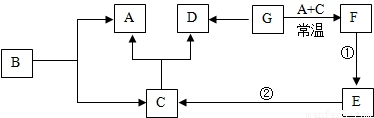
A、B、C、D、E、F、G都是初中化学已学过的常见物质,已知F为红色粉末.它们之间的关系如右下图所示(图中“→”表示物质间存在转化关系,部分产物及反应条件未标出).

(1)推断物质的化学式:
A    、B   
(2)G转化为D的基本反应类型是   
(3)写出下列反应的化学方程式:
   
   
(4)写出G在氧气中燃烧的化学方程式   

查看答案和解析>>

科目: 来源:2008-2009学年北京市宣武区九年级(上)期末化学试卷(解析版) 题型:解答题

根据如图回答问题.

(1)实验室常用稀盐酸和石灰石制取二氧化碳,该反应的化学方程式为______.应选用的发生装置是(填字母,下同)______.检验二氧化碳是否收集满的方法是______.
(2)实验室常用加热高锰酸钾的方法制取氧气,该反应的化学方程式为______;可选用的收集装置是______.

查看答案和解析>>

科目: 来源:2008-2009学年北京市宣武区九年级(上)期末化学试卷(解析版) 题型:解答题

根据下列数据及实验装置图(所有夹持仪器均省略),回答下列问题:
物质着火点酒精灯的火焰温度
白磷40℃500℃
红磷240℃
(1)在铜片上,A和C点为白磷,B点为红磷,用酒精灯对准A加热,最先发生燃烧的是(填字母,下同)______;一定不会发生燃烧的是______.
(2)将一支装满氧气的试管倒扣在(1)中“一定不会燃烧”的物质上面,现象是______;写出该反应的化学方程式______ 2P2O5

查看答案和解析>>

科目: 来源:2008-2009学年北京市宣武区九年级(上)期末化学试卷(解析版) 题型:解答题

实验室有一瓶黑色粉末和一瓶标签已被腐蚀的无色液体(如图).将二者混合会产生无色气体.为了确定它们的成分,甲、乙两位同学进行了探究.
【假设猜想1】
甲同学认为无色气体是氧气,其理由是(用化学方程式表示)______ 2H2O+O2

查看答案和解析>>

科目: 来源:2008-2009学年北京市宣武区九年级(上)期末化学试卷(解析版) 题型:解答题

只有合理使用物质,才能使物质造福人类.三聚氰胺(C3N6H6)有很多用途----制作环保阻燃剂、化肥等.
(1)组成三聚氰胺的元素有(填元素名称)______,三聚氰胺的相对分子质量为(写出计算过程)______
(2)求三聚氰胺中氮元素的质量分数(要求具体格式,保留一位小数).
______.

查看答案和解析>>

同步练习册答案