相关习题
 0  78270  78278  78284  78288  78294  78296  78300  78306  78308  78314  78320  78324  78326  78330  78336  78338  78344  78348  78350  78354  78356  78360  78362  78364  78365  78366  78368  78369  78370  78372  78374  78378  78380  78384  78386  78390  78396  78398  78404  78408  78410  78414  78420  78426  78428  78434  78438  78440  78446  78450  78456  78464  211419 

科目: 来源:2009-2010学年北京市房山区九年级(上)期末化学试卷(解析版) 题型:填空题

如图是某两种物质发生反应时的微观模拟示意图,(图中“”代表氮原子,“”代表氢原子)两种物质在高温、高压和催化剂的条件下发生反应,回答以下问题:

(1)B物质的组成元素是   
(2)C物质属于    (填单质、化合物或混合物).
(3)该反应中生成物的化学式为   
(4)该反应的化学方程式为    ;基本反应类型为   

查看答案和解析>>

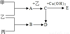
科目: 来源:2009-2010学年北京市房山区九年级(上)期末化学试卷(解析版) 题型:填空题

甲、乙、丙是三种单质,其中甲是固体;乙、丙是气体;A、B、C、D、E都是化合物,很多建筑物因含有E而受到酸雨的侵蚀.上述物质的相互转化关系如图所示(部分产物已略去):
(1)试推断下列物质,写出它们的化学式
B    ,D   
(2)写出下列反应的化学方程式.
乙+丙:   
A→C:   
C→E:   

查看答案和解析>>

科目: 来源:2009-2010学年北京市房山区九年级(上)期末化学试卷(解析版) 题型:解答题

如图所示为实验室常用的实验装置,据此回答下列问题:
(1)写出标有字母的仪器名称:a______,b______
(2)若实验室用高锰酸钾来制取氧气,应选择的发生装置为______反应的方程式
为______.K2MnO4+MnO2+O2

查看答案和解析>>

科目: 来源:2009-2010学年北京市房山区九年级(上)期末化学试卷(解析版) 题型:解答题

如图所示,某化学课外小组将紫色石蕊试液浸泡并晾干的紫色纸人,进行以下实验:
①左右两袖分别用毛笔涂上稀醋酸和稀盐酸,可观察到两袖均变红色;
②将“a”裤腿涂上蒸馏水;
③将纸人放入盛有干燥二氧化碳气体的集气瓶中;
④将纸人取出用热宝加热.
回答下列问题:
(1)步骤③中观察到的现象:“a”裤腿呈______色,“b”裤腿呈______色.
(2)步骤④中未看到两袖有明显变化,你认为其他部位可能观察到的现象及原因是:______.
(3)通过该实验可得出二氧化碳能与水反应生成一种酸(或具有酸性的物质)的结论,理由是:______
有关该二氧化碳性质的化学方程式为______.

查看答案和解析>>

科目: 来源:2009-2010学年北京市房山区九年级(上)期末化学试卷(解析版) 题型:解答题

某研究小组对用过氧化氢分解生成水和氧气的实验条件进行探究.
[提出问题]哪些因素可能影响该反应的反应速率?
[作出猜想]下面是小组内三位同学所做的猜想,请你完成小明的猜想.
小芳同学:H2O2溶液的浓度可能影响该反应的反应速率
小华同学:催化剂(MnO2)的用量可能影响该反应的反应速率
小明同学:我认为______可能影响该反应的反应速率
[实验验证]
(1)小芳同学的实验是:每次均取10mL30%的H2O2溶液,然后稀释成不同浓度的溶液进行实验,测定各次收集到100mL氧气时所用的时间,记录数据如下:
(其他实验条件:温度、催化剂用量等均相同)
实验次序12345
H2O2溶液浓度1%5%15%25%30%
所用时间(秒)6602052543
请你分析回答:
H2O2溶液的浓度对过氧化氢分解制氧气反应速率有什么影响?______
(2)小华同学的实验是:每次均用30mL10%的H22溶液,采用不同量MnO2粉末做催化剂,测定各次收集到500mL氧气时所用的时间,结果如下:
(其他实验条件:过氧化氢溶液浓度、温度等均相同)
实验次序12345
MnO2  粉末用量(克)0.20.40.60.81.0
所用时间(秒)85322
请你分析回答:
该反应的化学方程式为______ 2H2O+O2

查看答案和解析>>

科目: 来源:2009-2010学年北京市房山区九年级(上)期末化学试卷(解析版) 题型:解答题

62g红磷充分燃烧,生成五氧化二磷多少克?

查看答案和解析>>

科目: 来源:2009-2010学年北京市房山区九年级(上)期末化学试卷(解析版) 题型:解答题

钙是人体内第五位重要的元素,人体骨中钙的总含量约为1.2~1.5千克,青少年处于生长发育期,每天应摄入约为1.2克左右的钙元素,才能维持骨骼的健康发育.关注两种补钙剂的说明书,回答以下问题:
(1)补充说明书上的空格处.

(2)若青少年每天所需摄入的钙元素(1.2克)全部由补钙药品提供,试计算:
每天至少服用“钙尔奇”几片?若改用“葡萄糖酸钙口服溶液”,按说明用量的最大剂量服用,是否能满足补钙需求?

查看答案和解析>>

科目: 来源:《第2单元 我们周围的空气》2010年单元测试卷(07)(解析版) 题型:选择题

下列变化属于物理变化的是( )
A.
葡萄酿成酒
B.
铁矿石冶炼成钢铁
C.
海水晒盐
D.
石油合成塑料和橡胶

查看答案和解析>>

科目: 来源:《第2单元 我们周围的空气》2010年单元测试卷(07)(解析版) 题型:选择题

下列气体中,有剧毒的是( )
A.N2
B.O2
C.CO
D.CO2

查看答案和解析>>

科目: 来源:《第2单元 我们周围的空气》2010年单元测试卷(07)(解析版) 题型:选择题

下列物质中,不需密封保存的是( )
A.浓硫酸
B.氢氧化钠
C.大理石
D.澄清石灰水

查看答案和解析>>

同步练习册答案