相关习题
 0  78313  78321  78327  78331  78337  78339  78343  78349  78351  78357  78363  78367  78369  78373  78379  78381  78387  78391  78393  78397  78399  78403  78405  78407  78408  78409  78411  78412  78413  78415  78417  78421  78423  78427  78429  78433  78439  78441  78447  78451  78453  78457  78463  78469  78471  78477  78481  78483  78489  78493  78499  78507  211419 

科目: 来源:2010-2011学年江苏省苏州市张家港市九年级(上)期末化学试卷(解析版) 题型:解答题

以“>”或“<”或“=”填空.
(1)20℃,1L水与1L酒精混合后的体积______2L.
(2)20℃,1g镁与1g稀硫酸充分反应后所得的溶液的质量______2g,
(3)20℃,1g硫粉在1g氧气中完全燃烧后生成的二氧化硫的质量______2g.

查看答案和解析>>

科目: 来源:2010-2011学年江苏省苏州市张家港市九年级(上)期末化学试卷(解析版) 题型:解答题

请根据如图提示,自编一道简单的计算题,并解答.

(1)自编的题目:
解答:
(2)若用密度为1.18g?cm-3、溶质质量分数为37%的浓盐酸来配制上图中的稀盐酸100g,需要浓盐酸和水各多少毫升?

查看答案和解析>>

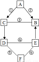
科目: 来源:2010-2011学年江苏省苏州市张家港市九年级(上)期末化学试卷(解析版) 题型:解答题

A、B、C、D、E、F都是初中化学常见的物质,其中B是常用于光合作用和灭火的气体.它们之间的关系如图所示.(图中“-”表示两端的物质能发生化学反应;“→”表示物质间存在转化关系.)
(l)B的化学式为______.
(2)已知反应①、②、③的基本反应类型相同.反应①的化学方程式为______ 2H2O

查看答案和解析>>

科目: 来源:2010-2011学年江苏省苏州市张家港市九年级(上)期末化学试卷(解析版) 题型:解答题

如图A~E是实验室制备某些常见气体的装置示意图.

(1)实验室制备CO2的化学方程式为:______.可用的发生装置有:______(选填上图字母序号).
(2)装置E相对于装置C在操作方面的优势为:______
(3)用高锰酸钾制取O2,装置A还需做的一点改动是______
(4)若用排水集气法来收集O2,则集满时的现象为______
(5)对用高锰酸钾制取O2后的固体残渣(已知二氧化锰难溶于水,另一种固体产物易溶于水,假定已完全反应),通过以下四步实验操作可回收二氧化锰.正确操作的先后顺序是______(填写选项序号).
a.烘干         b.溶解            c.过滤         d.洗涤
(6)在(5)中过滤操作中玻璃捧的作用是______.

查看答案和解析>>

科目: 来源:《第6单元 碳和碳的氧化物》2008年单元测试卷(解析版) 题型:选择题

下面O2和CO2的自述中,属于物理性质的是( )
A.
B.
C.
D.

查看答案和解析>>

科目: 来源:《第6单元 碳和碳的氧化物》2008年单元测试卷(解析版) 题型:选择题

有一首赞美某种气体的诗,其中几句是“她营造了云雾缭绕的仙境,她驱散了炎炎夏日的暑气,她奋不顾身扑向烈火,她带给大地勃勃生机…”,诗中所赞美的气体是( )
A.氧气
B.二氧化碳
C.氮气
D.稀有气体

查看答案和解析>>

科目: 来源:《第6单元 碳和碳的氧化物》2008年单元测试卷(解析版) 题型:选择题

金刚石、石墨都是碳元素组成的单质,化学性质相同而物理性质不同的原因( )
A.同种元素组成,但原子排列不同
B.原子最外层电子数相同
C.都是碳元素组成
D.原子的相对质量相同

查看答案和解析>>

科目: 来源:《第6单元 碳和碳的氧化物》2008年单元测试卷(解析版) 题型:选择题

下列有关说法中,正确的是( )
A.室内放置一大盆水,就可防止煤气中毒
B.室内着火,应立即开窗通风
C.夜间室内有煤气泄露,可立即开灯检查
D.久未开启的地窖、窖井,不可冒然进入

查看答案和解析>>

科目: 来源:《第6单元 碳和碳的氧化物》2008年单元测试卷(解析版) 题型:选择题

除去CO2中混有的少量CO,可使混合气体通过( )
A.石灰水
B.灼热的碳层
C.水
D.灼热的氧化铜

查看答案和解析>>

科目: 来源:《第6单元 碳和碳的氧化物》2008年单元测试卷(解析版) 题型:选择题

2007年“世界环境日”的主题是:“冰川消融,后果堪忧”,我国的主题是“污染减排与环境友好型社会”,下列与上述主题有关的说法错误的是( )

A.化石燃料燃烧排放的二氧化硫是导致温室效应的主要物质
B.温室效应是导致地球温度升高的主要因素之一
C.冰川融化,造成海平面上升,给人类生存带来威胁
D.减少化石燃料的使用、开发新能源、植树造林

查看答案和解析>>

同步练习册答案