相关习题
0 78908 78916 78922 78926 78932 78934 78938 78944 78946 78952 78958 78962 78964 78968 78974 78976 78982 78986 78988 78992 78994 78998 79000 79002 79003 79004 79006 79007 79008 79010 79012 79016 79018 79022 79024 79028 79034 79036 79042 79046 79048 79052 79058 79064 79066 79072 79076 79078 79084 79088 79094 79102 211419
科目:
来源:2008-2009学年北京市东城区普通校九年级(上)期末化学试卷(解析版)
题型:填空题
(1)M元素的单质可用于原子反应堆的导热剂,其原子结构示意图如图:
①该原子有
个电子层,X的值是
,M元素属于
(填“金属”或“非金属”)元素;
②M元素的化学性质与下列
(填序号)元素的化学性质相似.

③M元素和第②小题的D元素形成化合物的化学式是
.
(2)世界上的物质都是由粒子构成的,仿照示例填空
| 物质名称 | 示例:水 | 铁 | | 氯化钠 |
| 构成物质的粒子 | 分子 | | 分子 | |

查看答案和解析>>
科目:
来源:2008-2009学年北京市东城区普通校九年级(上)期末化学试卷(解析版)
题型:填空题
氢气是一种清洁能源,以氢燃料电池为动力的汽车已在北京试运行.
(1)氢气燃烧的化学方程式是 .
(2)从质量守恒定律观点看,水可作为制取氢气的原料,其原因是 .
(3)目前,开发利用氢能源的困难之一是 .
查看答案和解析>>
科目:
来源:2008-2009学年北京市东城区普通校九年级(上)期末化学试卷(解析版)
题型:填空题
如图是开启后的碳酸饮料示意图,据图回答
下列问题.
(1)饮料成分中属于氧化物的是
(填序号)
(2)开启后可以闻到香味,请用分子或原子的观点解释该现象(
注意:若直接向新鲜饮料中滴入紫色石蕊试液,饮料变红,则不能说明饮料中有CO
2,因为饮料中的柠檬酸也能使石蕊试液变红色.
(3)请选用一种方法探究饮料中溶解的二氧化碳,并将实验步骤和现象填在下表中:

查看答案和解析>>
科目:
来源:2008-2009学年北京市东城区普通校九年级(上)期末化学试卷(解析版)
题型:填空题
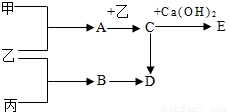
甲、乙、丙是三种单质,其中甲是固体;乙、丙是气体;A、B、C、D、E都是化合物,很多建筑物因含有E而受到酸雨的侵蚀.上述物质的相互转化关系如图所示(部分产物已略去):
(1)试推断下列物质,写出它们的化学式
B
,D
.
(2)写出下列反应的化学方程式.
乙+丙:
,
A→C:
.
C→E:
.

查看答案和解析>>
科目:
来源:2008-2009学年北京市东城区普通校九年级(上)期末化学试卷(解析版)
题型:解答题
选择仪器的名称

不能直接加热的仪器是______,用于量取一定液体体积的仪器是______,
为完成过滤操作,除选用上述部分仪器外,还缺少的玻璃仪器是______.
查看答案和解析>>
科目:
来源:2008-2009学年北京市东城区普通校九年级(上)期末化学试卷(解析版)
题型:解答题
通过学习你已经掌握了实验室制取气体的有关规律,请你结合下列装置图回答问题.

(1)实验室制取和收集CO
2时应选用______装置(填装置代号,下同),检验集气瓶中CO
2是否收集满的方法是______,
此发生装置还可以用来制氧气,请写出该反应的化学方程式______ 2H
2O+O
2↑
查看答案和解析>>
科目:
来源:2008-2009学年北京市东城区普通校九年级(上)期末化学试卷(解析版)
题型:解答题
(1)SO
2和NO
2都能溶于雨水形成酸雨而破坏环境.为减少酸雨的产生,有下列措施:①少用煤作燃料;②把工厂的烟囱建高;③在酸化的土壤中加水;④燃料脱硫;⑤开发新能源.其中有效的措施是______(填序号).
(2)已知SO
2能溶于水生成亚硫酸:SO
2+H
2O=H
2SO
3,亚硫酸的性质与碳酸相似,为了探究SO
2能使紫色石蕊试液变红的原因,现用三朵用石蕊试液染成紫色的干燥的小花,请完成填空.
| 提出假设 | 实验方案和现象 | 实验结论 |
| 假设水能使紫色石蕊变红 | 在一朵紫色小花上滴几滴蒸馏水, 小花不变色 | 水不能使紫色石蕊变红 |
| 假设SO2能使紫色石蕊变红 | 将一朵紫色的小花直接放入盛有SO2的集气瓶中,小花不变色. | |
| | 假设成立 |
查看答案和解析>>
科目:
来源:2008-2009学年北京市东城区普通校九年级(上)期末化学试卷(解析版)
题型:解答题
一定质量的石灰石与足量稀盐酸反应生成22gCO2,求该石灰石中碳酸钙的质量.______.
查看答案和解析>>
科目:
来源:2008-2009学年北京市东城区普通校九年级(上)期末化学试卷(解析版)
题型:解答题
某同学为了测定实验室中氯酸钾样品的纯度,取2.5g该样品与0.5g二氧化锰混合.加热该混合物t
1时间后(假设杂质不参加反应),冷却,称量剩余固体质量,重复以上操作,依次称得加热t
2、t
3、t
4时间后剩余固体的质量,记录数据如下表:
| 加热时间 | t1 | t2 | t3 | t4 |
| 剩余固体质量(g) | 2.12 | 2.08 | 2.04 | 2.04 |
(1)加热t
3时间后,氯酸钾是否已经反应完全?______;(填“是”或“否”)
(2)求完全反应后产生氧气的质量;
(3)求该样品中氯酸钾的质量分数.
查看答案和解析>>
科目:
来源:2009-2010学年北京市朝阳区九年级(上)期末化学试卷(解析版)
题型:选择题
下列食品、调味品的制作过程中,没有发生化学变化的是( )
A.

鲜奶制酸奶
B.

黄豆酿酱油
C.

糯米酿甜酒
D.

水果榨果汁
查看答案和解析>>