相关习题
 0  78926  78934  78940  78944  78950  78952  78956  78962  78964  78970  78976  78980  78982  78986  78992  78994  79000  79004  79006  79010  79012  79016  79018  79020  79021  79022  79024  79025  79026  79028  79030  79034  79036  79040  79042  79046  79052  79054  79060  79064  79066  79070  79076  79082  79084  79090  79094  79096  79102  79106  79112  79120  211419 

科目: 来源:2009-2010学年新人教版九年级(上)期末化学试卷(8)(解析版) 题型:填空题

用化学符号填空:
(1)2个过氧化氢分子    ;3个磷原子   
(2)某气体在空气中占78%(体积分数),表示出它的6个分子   
(3)某离子带两单位的正电荷,核内的质子数为12,该离子符号为   
(4)温度计中填充的金属是    ,地壳中含量最多的金属元素是   

查看答案和解析>>

科目: 来源:2009-2010学年新人教版九年级(上)期末化学试卷(8)(解析版) 题型:填空题

我们常用实验探究的方法来研究常见物质的组成,如图:

A实验是利用可燃物消耗瓶内的    ,使瓶内压强减少来推测空气里氧气的含量;
B实验是通过电解水生成氧气和氧气,该反应的基本反应类型:    ,可以说明水是由    组成的;
C试验的原理与上面的实验    (填A或B)相同.

查看答案和解析>>

科目: 来源:2009-2010学年新人教版九年级(上)期末化学试卷(8)(解析版) 题型:填空题

2010年4月12日,青海玉树县发生7.1级地震,给当地人民造成极大的损失,地震后水资源非常缺乏,某小组为了探究“水的净化”过程,从护城河中取了水样,观察到:
A、水样呈黄色,有异味;B、水样浑浊,有固体小颗粒
现对水样进行如下处理:
(1)向水样中加入明矾搅拌溶解,静置一段时间后,进行    (填操作名称),除去固体小颗粒,再向滤液中加入活性炭,利用其    性除去水样中的颜色和异味,该过程属于    变化(填“物理”或“化学”)
(2)通入氯气杀菌消毒,得到自来水,发生的反应如下:Cl2+H2O═HCl+HClO(次氯酸).请判断,次氯酸中氯元素的化合价为   
(3)为了判断得到的自来水是硬水或软水,可加入    进行检验
(4)将自来水蒸馏得到纯净水,把下列物质分别加入纯净水中,用玻璃棒不断搅拌,能形成无色溶液的是    (填序号)
A、粉笔灰;B、硫酸铜;C、蔗糖;D、食用油.

查看答案和解析>>

科目: 来源:2009-2010学年新人教版九年级(上)期末化学试卷(8)(解析版) 题型:填空题

化学是研究物质的结构、性质以及变化规律的科学,研究元素知识是学好化学的基础.下表包含部分元素的相关信息,完成以下填空:
第一周期1  H 2  He
第二周期3  Li4  Be5  B6  C7  N8 O9  F10  Ne
第三周期11  Na12  Mg13  Al14  Si15  P16  S17  18  Ar
(1)1869年,科学家    发现了元素周期律和元素周期表.
(2)请画出17号元素原子结构示意图    ,该元素在化学反应中比较容易    (填“得到”或“失去”)电子变成离子.
(3)上表中最活泼的金属元素与地壳中含量最多的元素组成的化合物是    (填化学式).

查看答案和解析>>

科目: 来源:2009-2010学年新人教版九年级(上)期末化学试卷(8)(解析版) 题型:填空题

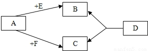
已知A、E、F是单质,B、C、D是化合物,它们分别是由碳、氢、氧三种元素中的一种或者几种组成.其中B是相对分子质量最小的氧化物,D物质很不稳定,容易分解生成B和C,它们之间的转化关系如图所示.
(1)则A、E的化学式为A    ,E   
(2)请你写出以下变化的化学方程式:
A+F→C   
D→B+C   

查看答案和解析>>

科目: 来源:2009-2010学年新人教版九年级(上)期末化学试卷(8)(解析版) 题型:解答题

现有下列仪器或装置,请回答下列问题:

(1)图中仪器a的名称______,加热高锰酸钾制取氧气反应原理为:______ K2MnO4+MnO2+O2

查看答案和解析>>

科目: 来源:2009-2010学年新人教版九年级(上)期末化学试卷(8)(解析版) 题型:解答题

鸡蛋壳的主要成分是碳酸钙,为了测定蛋壳中碳酸钙的质量分数,小东和小军同学进行了如下实验,相关实验数据如图所示:
(1)小东根据“蛋壳残渣质量为4.3克”,求得蛋壳中碳酸钙的质量分数为______;
(2)小军根据“反应过程中减少的质量”也求得了蛋壳中碳酸钙的质量分数,请你写出小军的计算过程和结果.
(3)小东和小军经过反复实验得出该鸡蛋壳中碳酸钙的质量分数与小军结果吻合,请分析小东开始所得结果出现误差的可能原因.

查看答案和解析>>

科目: 来源:《2.3 保护空气的洁净清新》2010年同步练习(解析版) 题型:选择题

下列物质排放到空气中,不污染空气的是( )
A.氢气在空气中燃烧的产物
B.一氧化碳
C.二氧化碳
D.二氧化硫

查看答案和解析>>

科目: 来源:《2.3 保护空气的洁净清新》2010年同步练习(解析版) 题型:选择题

在大气层中,因二氧化碳的含量不断增加而引起“温室效应”,造成大气中二氧化碳含量增加的主要原因是( )
A.动植物的呼吸作用增加
B.实验室逸出的二氧化碳增加
C.森林绿化面积迅速递减,使得自然界吸收二氧化碳的能力降低
D.大量矿物燃料的燃烧

查看答案和解析>>

科目: 来源:《2.3 保护空气的洁净清新》2010年同步练习(解析版) 题型:填空题

列举几种常见的空气污染物           

查看答案和解析>>

同步练习册答案