相关习题
 0  79085  79093  79099  79103  79109  79111  79115  79121  79123  79129  79135  79139  79141  79145  79151  79153  79159  79163  79165  79169  79171  79175  79177  79179  79180  79181  79183  79184  79185  79187  79189  79193  79195  79199  79201  79205  79211  79213  79219  79223  79225  79229  79235  79241  79243  79249  79253  79255  79261  79265  79271  79279  211419 

科目: 来源:2008-2009学年江西省抚州市临川七中九年级(上)期中化学试卷(解析版) 题型:填空题

呼出的气体比空气中的气体含量多的是(   
A、二氧化碳    B、氧气    C、氮气  D、   

查看答案和解析>>

科目: 来源:2008-2009学年江西省抚州市临川七中九年级(上)期中化学试卷(解析版) 题型:填空题

下面是五种粒子的结构示意图,由此你能得到的信息是(   

A、它们表示五种元素  B、、②③⑤三种粒子具有相对稳定结构
C、其中有两种表示原子结构示意图  D、   

查看答案和解析>>

科目: 来源:2008-2009学年江西省抚州市临川七中九年级(上)期中化学试卷(解析版) 题型:填空题

用化学用语填空:
(1)汞元素    (2)三个氢原子    (3)两个五氧化二氮分子   
(4)3个氢氧根离子    (5)氧化镁中镁元素为+2价   

查看答案和解析>>

科目: 来源:2008-2009学年江西省抚州市临川七中九年级(上)期中化学试卷(解析版) 题型:填空题

生活中处处有化学.根据①氦气②氢气③氮气④氧气等物质的性质或用途,填写下列空格(填序号):
(1)可以燃烧的气体是    ;(2)人类生命活动离不开的气体是   
(3)新鲜的“蛋黄派”袋内被空气含量(体积分数)最多的气体充得鼓鼓的,这种气体是   
(4)可填充霓虹灯且通电时会发出有色光的气体是   

查看答案和解析>>

科目: 来源:2008-2009学年江西省抚州市临川七中九年级(上)期中化学试卷(解析版) 题型:填空题

M元素的单质可用于原子反应堆的导热剂,其原子结构示意图如右:
(1)该原子有    个电子层,X的值是    ,M元素属于    (填“金属”或“非金属”)元素;
(2)M元素的化学性质与下列    (填序号)元素的化学性质相似.

(3)M元素的离子符号是    ;(用元素符号填空,下同)
(4)M元素和第(2)小题的D元素形成化合物的化学式是   

查看答案和解析>>

科目: 来源:2008-2009学年江西省抚州市临川七中九年级(上)期中化学试卷(解析版) 题型:填空题

(1)在纯净物、混合物、化合物中肯定有不同元素存在的是    
(2)有下列物质:①过氧化氢;②二氧化锰;③石灰水;④加热高锰酸钾完全反应后的剩余固体;⑤红磷;⑥氯酸钾;⑦氖气;⑧水银.其中属于混合物的是     ;属于单质的是     ;属于化合物的是     ;属于氧化物的是     .(填序号)

查看答案和解析>>

科目: 来源:2008-2009学年江西省抚州市临川七中九年级(上)期中化学试卷(解析版) 题型:填空题

小雨收集到一瓶浑浊的河水,他要模拟自来水厂的净水过程,最终制成蒸馏水.其实验过程如下所示.请回答以下问题.

(1)A物质的名称是    ,操作①的名称是    ,若经过操作①后,所得液体C中仍有浑浊,其原因可能是    (填写序号);
a.漏斗内的滤纸有破损缘b.漏斗下端未靠在烧杯内壁c.漏斗内液面高于滤纸的边缘

(2)操作②应选用的装置是    (填序号),该过程主要是    变化(填“物理”或“化学”).
(3)小雨取少量液体D于试管中,加入少量肥皂水,振荡,发现有较多浮渣产生,说明液体D是    水.操作③应选用的装置是    (填序号),经过操作③以后,小雨重复上述实验,他观察到的实验现象是   

查看答案和解析>>

科目: 来源:2008-2009学年江西省抚州市临川七中九年级(上)期中化学试卷(解析版) 题型:解答题

阅读材料,回答问题:
2008年9月,中国爆发三鹿婴幼儿奶粉受污染事件,导致食用了受污染奶粉的婴幼儿产生肾结石病症,其原因是奶粉中含有三聚氰胺.三聚氰胺性状为纯白色单斜棱晶体,化学式C3N6H6[C3N3(NH23],无味,密度1.573 g/cm3(16℃).常压熔点354℃(分解);快速加热升华,升华温度300℃.溶于热水,微溶于冷水,极微溶于热乙醇,不溶于醚、苯和四氯化碳,可溶于甲醇、甲醛、乙酸、热乙二醇、甘油、吡啶等.低毒.在一般情况下较稳定,但在高温下可能会分解放出氰化物,氰化物通常具有毒性.
(1)请总结三聚氰胺的物理性质(写两点):______,______;
化学性质(写两点):______,______;
(2)三聚氰胺属于______(填“混合物”或“纯净物”);
(3)为安全起见,一般采用三聚氰胺制造的食品都会标明“不可放进微波炉使用”.试解释相关原因:______.

查看答案和解析>>

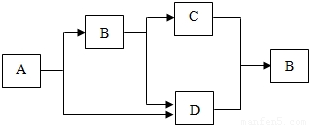
科目: 来源:2008-2009学年江西省抚州市临川七中九年级(上)期中化学试卷(解析版) 题型:解答题

A、B、C、D都是我们学过的四种物质,其中两种物质由两种相同元素组成;另外两种物质都属于单质.在一定的条件下,它们有如图的转化关系:(反应中涉及的物质都已给出,反应条件已省略)
问:(1)写出下列物质的化学式.
A、______;B、______
C、______;D、______
(2)写出A转化为B和D的化学反应文字表达式.

查看答案和解析>>

科目: 来源:2008-2009学年江西省抚州市临川七中九年级(上)期中化学试卷(解析版) 题型:解答题

我们知道物质按物质种类区分,可以把物质分为纯净物和混合物.纯净物都有固定的组成,都是由元素组成的.用化学名称来表示纯净物有许多弊端,化学上通常用化学式来表示纯净物.例如碳酸钠的化学式为Na2CO3;碳酸钠(Na2CO3)是由钠(Na)、碳(C)、氧(O)三种元素组成的.纯净物根据元素种类不同,可把纯净物分为单质和化合物.下表中举出了一些物质和物质类别. 
物质类别物质举例
单质铁(Fe)、氧气(O2)、硫(S)、磷(P)、氢气(H2
化合物氯酸钾(KClO2)、五氧化二磷(P2O3)、氯化钾(KCl)、碳酸氢钠(NaHCO2
氧化物水(H2O)、四氧化三铁(Fe3O4)、二氧化硫(SO2)、氧化铝(AL2
请仔细研读上面的材料和表格中的例子,里面有许多规律,如:化合物不一定都含氧元素.从中你还能发现的规律有(写三条即可):
(1)______;
(2)______;
(3)______.

查看答案和解析>>

同步练习册答案