相关习题
0 79283 79291 79297 79301 79307 79309 79313 79319 79321 79327 79333 79337 79339 79343 79349 79351 79357 79361 79363 79367 79369 79373 79375 79377 79378 79379 79381 79382 79383 79385 79387 79391 79393 79397 79399 79403 79409 79411 79417 79421 79423 79427 79433 79439 79441 79447 79451 79453 79459 79463 79469 79477 211419
科目:
来源:2013年天津市河东区中考化学二模试卷(解析版)
题型:选择题
硫在生产生活中的应用非常广泛,如图为硫原子结构示意图和在元素周期表中的信息,下列说法正确的是( )

A.硫属于金属元素
B.硫原子的核电荷数为16
C.硫原子的相对原子质量为32.07g
D.在化学反应中,硫原子容易失去电子
查看答案和解析>>
科目:
来源:2013年天津市河东区中考化学二模试卷(解析版)
题型:选择题
现有X、Y、Z三种金属,已知:①X和稀硫酸不反应;②Z+HSO4(稀)=ZSO4+H2↑;③X+2YNO3=2Y+X(NO3)2,这三种金属的活动性顺序正确的是( )
A.X>Y>Z
B.Z>X>Y
C.Y>Z>X
D.Z>Y>X
查看答案和解析>>
科目:
来源:2013年天津市河东区中考化学二模试卷(解析版)
题型:选择题
地球上71%的面积覆盖着水,水是生命之源,也是重要的溶剂,下列说法正确的是( )
A.将1gCaO投入到99g水中,溶质的质量分数1%
B.常温下KNO3、Ca(OH)2的饱和溶液降温后仍是饱和溶液
C.将NaCl、蔗糖溶于水后,溶质均以分子形式存在
D.溶质在溶解的过程中,有的放出热量,有的吸收热量
查看答案和解析>>
科目:
来源:2013年天津市河东区中考化学二模试卷(解析版)
题型:选择题
下列设计的实验方案中不能达到目的是( )
A.用灼烧闻气味区分羊毛线和棉线
B.用稀盐酸区分铁粉和木碳粉
C.用酚酞溶液区分稀盐酸和食盐水
D.用尝到味道的方法区分厨房厨柜中调味品食盐和蔗糖
查看答案和解析>>
科目:
来源:2013年天津市河东区中考化学二模试卷(解析版)
题型:选择题
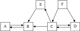
初中化学中几种常见物质之间的相互转化关系如图所示.已知常温下B、C为气体,且B是植物进行光合作用的一种重要原料;D、F均为无色液体,都由两种相同的元素组成,且分子中原子个数比依次为2:1和1:1;E为黑色固体,与稀硫酸反应得到蓝色溶液(部分反应物和生成物及反应条件已略去).下列有关判断正确的是( )

A.E转变为B一定是置换反应
B.A不一定是含CO
32-或HCO
3-的盐
C.D、F中相同元素的化合价一定相同
D.除去B中混有的少量C,可以将混合气体通过盛有NaOH溶液的洗气瓶
查看答案和解析>>
科目:
来源:2013年天津市河东区中考化学二模试卷(解析版)
题型:选择题
下列图象能正确反映其对应关系的是( )

A.向氢氧化钠溶液中不断加水,溶液pH与加入水的质量的关系
B.向盛有氧化铜的烧杯中加入稀盐酸至过量,生成氯化铜质量与加入稀盐酸质量的关系
C.一定量的稀硫酸与锌粒反应,溶液的质量与反应时间的关系
D.向氯化铜和硝酸铜的混合溶液中滴加氢氧化钠溶液,生成沉淀与加入氢氧化钠溶液的质量关系
查看答案和解析>>
科目:
来源:2013年天津市河东区中考化学二模试卷(解析版)
题型:选择题
某无色气体可能含有CH4、CO、H2中的一种或几种,依次进行以下实验(假设每一步反应或吸收均完全):①将无色气体充分燃烧;②燃烧后生成的气体通过盛浓硫酸的装置,装置的质量增加7.2g;③再将剩余气体通过盛NaOH溶液的装置.装置的质量增加8.8g.下列推断错误的是( )
A.原无色气体中可能只含H2和CH4
B.原无色气体中可能只含CH4
C.原无色气体中可能只含CO和H2
D.原无色气体中一定含有碳元素、氢元素和氧元素
查看答案和解析>>
科目:
来源:2013年天津市河东区中考化学二模试卷(解析版)
题型:填空题
化学就在我们身边,它与我们的生产、生活息息相关.从①石灰石②干冰③氦气④石墨⑤金刚石.请按要求用序号填空:
(1)用做人工降雨的是 ;
(2)用做建筑材料的是 ;
(3)可做干电池中电极的是 ;
(4)可充入霓虹灯且通电时会发出有色光的是 ;
(5)镶在玻璃刀上用来裁玻璃的是 .
查看答案和解析>>
科目:
来源:2013年天津市河东区中考化学二模试卷(解析版)
题型:填空题
在生产生活中,你会发现“化学就在我们身边”.
(1)青少年成长需要充足的蛋白质和钙.这里的“钙”是指
(填“原子”或“元素”).下列食品中,能提供丰富蛋白质的是
(填字母序号).

(2)洗洁精能清除油污,这是利用它的
作用.
(3)化石燃料包括煤、
和天然气,天然气(主要成分为甲烷)燃烧的化学方程式为
.
(4)在举重运动员比赛时,常用的防滑剂的有效成分是碱式碳酸镁(Mg
5(OH)
2(CO
3)
4),它的分解的化学方程式为:Mg
5(OH)
2(CO
3)
4
5MgO+X+4CO
2↑,则X的化学式为
.
查看答案和解析>>
科目:
来源:2013年天津市河东区中考化学二模试卷(解析版)
题型:填空题
A、B、C、D四种化合物分别通过分解反应生成两种物质,如下所示(反应条件略去):①A→B+M ②B→M+N ③C→M+P ④D→M+Q.在生成物中N被认为是最清洁的燃料,P是常温下为液态的金属,Q的水溶液跟硝酸银溶液反应生成一种不溶于稀硝酸的白色沉淀,试推断(用化学式表示):
(1)C是 .
(2)写出②对应的化学方程式 ;写出Q的水溶液跟硝酸银溶液反应的化学方程式 ;反应类型 .
查看答案和解析>>