相关习题
 0  79337  79345  79351  79355  79361  79363  79367  79373  79375  79381  79387  79391  79393  79397  79403  79405  79411  79415  79417  79421  79423  79427  79429  79431  79432  79433  79435  79436  79437  79439  79441  79445  79447  79451  79453  79457  79463  79465  79471  79475  79477  79481  79487  79493  79495  79501  79505  79507  79513  79517  79523  79531  211419 

科目: 来源:2013年江苏省无锡市南长区中考化学二模试卷(解析版) 题型:选择题

中考复习阶段,某同学梳理了以下知识:①利用金属的化学性质可以区别不同金属的活动性强弱;②酸、碱中一定含有氢元素、盐中一定含有金属元素;③能使酸碱指示剂变色的溶液一定是酸溶液或碱溶液;④燃烧需要同时满足三个条件,故破坏其中一个条件就可以灭火;⑤微量元素是人体健康必不可少的,但补充微量元素也要适可而止;⑥二氧化碳能灭火是因为不能燃烧也不能支持燃烧且密度比空气大,而用水灭火是因为可降低可燃物的着火点.其中你认为合理的是( )
A..①④⑤
B..①③⑥
C..②⑤⑥
D.②④⑤

查看答案和解析>>

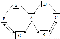
科目: 来源:2013年江苏省无锡市南长区中考化学二模试卷(解析版) 题型:选择题

如图所示A~G是初中化学常见的物质.图中“→”表示转化关系,“-”表示相互能反应.已知A是人体胃液中含有的酸,G是最轻的气体,B、C、D、E、F都是氧化物(部分反应物和生成物及反应条件已略去). 下列有关判断不正确的是( )

A.这些物质间的相互转化涉及四种基本反应类型
B.B物质中含有少量的C物质常用燃烧的方法去除
C.C物质与D 物质间的反应可能是冶铁的反应原理
D.G气体与F物质的相互转化说明G是可再生的清洁能源

查看答案和解析>>

科目: 来源:2013年江苏省无锡市南长区中考化学二模试卷(解析版) 题型:解答题

生活中处处有化学,请用所学的化学知识填空.
(1)现有H、O、C、S、Na五种元素,请选用其中的一种或几种元素填写符合下列要求的化学式(各写一个):
①炼钢的气体______;   ②汽车驾驶员出车前禁止饮用的物质可______;
③用于除铁锈的酸______;  ④侯氏联合制碱法制得的“碱”______.
(2)我国第四套人民币硬币从1999年开始发行,一元币为钢芯镀镍(Ni),伍角币为铜锌合金,一角币为镁铝合金.
①铸造以上硬币用到的材料都是______(填“合成材料”或“金属材料”).
选择铸造硬币的材料不需要考虑的因素是______ (填序号).
A.金属的导电性    B.金属的耐腐蚀性    C.金属的硬度
②以上硬币中涉及到Fe、Cu、Al、Ni(镍),已知镍能够发生如下反应
Ni+H2SO4═H2↑+NiSO4        Fe+NiCl2═Ni+FeCl2
这两个反应都属于______反应,(填“化合”、“分解”、“置换”、“复分解”)
四种金属的活动性由强到弱的顺序为______ (用元素符号表示).

查看答案和解析>>

科目: 来源:2013年江苏省无锡市南长区中考化学二模试卷(解析版) 题型:解答题

完成下列反应的化学方程式,并在括号内注明反应基本类型:
(1)磷在空气中燃烧______ 2P2O5 ;化合

查看答案和解析>>

科目: 来源:2013年江苏省无锡市南长区中考化学二模试卷(解析版) 题型:解答题

如图1所示为实验室常用的实验装置,回答问题:
(1)写出带有标号仪器①的名称:______
(2)用高锰酸钾制取氧气的反应方程式为______ K2MnO4+MnO2+O2

查看答案和解析>>

科目: 来源:2013年江苏省无锡市南长区中考化学二模试卷(解析版) 题型:解答题

氯碱工业中用离子交换膜法电解制碱的主要生产流程示意图如图1所示;氯碱工业中用离子交换膜法电解制碱的电解原理示意图如图2所示.依据图1、图2所示的信息完成下列填空:
(1)与电源负极相连的电极附近,溶液的pH______(选填“不变”“升高”“降低”).
(2)如果粗盐中SO42-含量较高,必须添加钡试剂除去SO42-,该钡试剂可以是______(选填a、b、c).
a.BaCO3   b.Ba(NO32    c.BaCl2
(3)为有效除去Ca2+、Mg2+、SO42-得到精制盐水,加入试剂的合理顺序为______(选填a、b、c).
a.先加NaOH,后加Na2CO3,再加钡试剂
b.先加NaOH,后加钡试剂,再加Na2CO3
c.再加Na2CO3,后加NaOH,先加钡试剂
(4)由图示可知用离子交换膜法电解制碱工艺中______产品可循环使用.
(5)脱盐工序中利用NaOH和NaCl在溶解度上的差异,通过加热浓缩、冷却、______(填写操作名称)提纯NaOH.

查看答案和解析>>

科目: 来源:2013年江苏省无锡市南长区中考化学二模试卷(解析版) 题型:解答题


某化学兴趣小组按照图1所示装置进行木炭还原氧化铜的实验,很快发现试管①、试管②中分别出现____________的现象.从而得到的结论是______ 2Cu+CO2↑、Ca(OH)2+CO2=CaCO3↓+H2O

查看答案和解析>>

科目: 来源:2013年辽宁省大连市中考化学二模试卷(解析版) 题型:选择题

下列能源利用中,主要通过化学反应提供能量的是( )
A.太阳能供电
B.风力发电
C.燃料电池供电
D.潮汐能发电

查看答案和解析>>

科目: 来源:2013年辽宁省大连市中考化学二模试卷(解析版) 题型:选择题

下列由有机合成材料制成的是( )
A.大理石板
B.尼龙绳
C.竹筷子
D.铝合金门窗

查看答案和解析>>

科目: 来源:2013年辽宁省大连市中考化学二模试卷(解析版) 题型:选择题

下列物质中,属于氮肥的是( )
A.硝酸钠[NaNO3]
B.硫酸钾[K2SO4]
C.磷酸钙[Ca3(PO42]
D.氯化钾[KCl]

查看答案和解析>>

同步练习册答案