相关习题
 0  79366  79374  79380  79384  79390  79392  79396  79402  79404  79410  79416  79420  79422  79426  79432  79434  79440  79444  79446  79450  79452  79456  79458  79460  79461  79462  79464  79465  79466  79468  79470  79474  79476  79480  79482  79486  79492  79494  79500  79504  79506  79510  79516  79522  79524  79530  79534  79536  79542  79546  79552  79560  211419 

科目: 来源:2013年河南省周口市川汇区中考化学三模试卷(解析版) 题型:填空题

如图所示是氢氧化钠的溶解度曲线,请回答下列问题:
(1)t℃时氢氧化钠饱和溶液的溶质质量分数是   
(2)室温为20℃时,某同学向100g20℃的水中加入150g氢氧化钠,发现氢氧化钠全部溶解,过一段时间后又有部分氢氧化钠晶体析出,请你解释出现这种现象的原因是   

查看答案和解析>>

科目: 来源:2013年河南省周口市川汇区中考化学三模试卷(解析版) 题型:填空题

某化学兴趣小组探究可燃物燃烧的条件时,做了如图所示实验.他们所做实验的目的是通过控制可燃物    来探究燃烧的条件,白磷燃烧的化学方程式为   

查看答案和解析>>

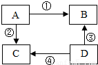
科目: 来源:2013年河南省周口市川汇区中考化学三模试卷(解析版) 题型:填空题

A,B,C,D四种物质中,已知A单质,B为无色液体,B,C均为植物光合作用的原料,D为黑色固体,它们之间的转化关系如图所示(部分物质和反应条件已略去),其中①②为化合反应,③④为置换反应.则物质A为    ;反应④的化学方程式为   

查看答案和解析>>

科目: 来源:2013年河南省周口市川汇区中考化学三模试卷(解析版) 题型:解答题

化学反应是否容易发生,化学反应的现象,速率等受到多种因素的影响.请分析下列实验或事实,分别说明在其他条件不变时,这些因素是如何影响化学反应的.
(1)常温下,CuO与稀硫酸反应缓慢,而加热时反应明显加快.
(2)木炭在空气中燃烧时红热,在氧气中燃烧时发出白光,放出大量热.
(3)将铁丝放在酒精灯火焰上灼烧.铁丝不燃烧,但是将铁粉洒向酒精灯火焰,却发现有火星四射的现象产生.

查看答案和解析>>

科目: 来源:2013年河南省周口市川汇区中考化学三模试卷(解析版) 题型:填空题

请用所学化学知识回答下列问题.
(1)“酒香不怕巷子深”,说明   
(2)用化学方程式表示用稀盐酸除铁锈(主要成分是Fe2O3)的原理   
(3)在Cu(NO32,Fe(NO32,Mg(NO32的混合溶液中加入一定量锌粉,充分反应后过滤,向滤出的固体中滴加稀硫酸,没有气泡产生.则滤出的固体中含有的成分是    ,写出反应过程中发生的化学反应方程式   

查看答案和解析>>

科目: 来源:2013年河南省周口市川汇区中考化学三模试卷(解析版) 题型:解答题

分类学习是化学中常用的学习方法,分类的标准有多种.
(1)化学反应可分为化合反应、分解反应、置换反应和复分解反应四种基本类型,还可以分为氧化还原反应(元素有化合价改变)和非氧化还原反应(元素没有化合价改变),则你认为在四种基本反应类型中,哪一种反应一定是非氧化还原反应?
(2)根据盐的组成里所含阴、阳离子的特点,还可以将盐进一步分类.例如,Na2SO4,CuSO4,(NH42SO4等盐属于硫酸盐,CaCO3,CaCl2,Ca(NO32等属于钙盐,(NH42SO4,NH4Cl,NH4N03等属于铵盐,则CaCO3,Na2C03,K2CO3等属于______.
(3)根据物质的性质和用途,还可以将物质进行分类,如干燥剂、除臭剂、可燃物等,请写出两种可做灭火剂的气体物质.

查看答案和解析>>

科目: 来源:2013年河南省周口市川汇区中考化学三模试卷(解析版) 题型:解答题

氨气是一种具有强烈刺激性气味的气体,密度比空气小,极易溶于水,其水溶液显碱性,实验室可用浓氨水与生石灰反应来制取氨气.
(1)请你从图中选择实验室用此方法制取氨气的发生装置.
(2)若用C装置收集氨气,则气体要从______(填“a”或“b”)进入集气瓶.
(3)将石蕊溶液滴加到盛有氨气的集气瓶中,可观察到的现象是什么?
(4)氨气具有强烈刺激性,怎么才能正确闻氨气的气味?

查看答案和解析>>

科目: 来源:2013年河南省周口市川汇区中考化学三模试卷(解析版) 题型:解答题

酸、碱、盐和氧化物的知识是初中化学重要的基础知识,以下是同学们对相关知识进行探究的过程.
(1)酸和碱的组成中都含有氢元素,如图是氢在元素周期表中的一些信息,下列对图中信息的理解或应用错误的是______.
①A表示氢原子核中含有一个质子  ②B是元素的符号   ③C是元素的名称   ④D是原子的质量
(2)盐酸,硫酸和其他的酸都有相似的化学性质,如:它们都能使酸碱指示剂变色,它们都______;浓硫酸有______,故可做干燥剂,但是浓硫酸不能干燥氨气,因为氨气能与硫酸反应,生成硫酸铵.该反应的化学方程式为______
(3)氢氧化钠、氯化钙、硫酸铜等物质的水溶液能导电,但是它们的固体缺不能导电,这是为什么?
(4)水垢主要是由氢氧化镁和碳酸钙组成的混合物,同学们分别用稀盐酸和稀硫酸来除去水垢,发现用稀盐酸很快就能将水垢除去,但是用稀硫酸除水垢时,反应会逐渐停止.你认为稀硫酸不能将水垢完全除尽的原因是______
(5)为了测定水垢中的碳酸钙的含量,同学们称取10.0g水垢放入烧杯中,分4次将稀盐酸向烧杯中加入,测得数据如下表:
未加稀盐酸时第一次加入10.0g稀盐酸第二次加入10.0g稀盐酸第三次加入10.0g稀盐酸第四次加入10.0g稀盐酸
烧杯中物质总质量10.0g18.9g27.8g36.7g46.7g
请计算:①反应生成二氧化碳的质量;②水垢中含有碳酸钙的质量分数.

查看答案和解析>>

科目: 来源:2013年重庆一中中考化学三模试卷(解析版) 题型:选择题

日常生活中的下列变化,其中不属于化学变化的是( )
A.食醋除去水壶中的水垢
B.活性炭除去冰箱中的异味
C.炉具清洁剂除去燃气炉油污
D.用小苏打培制糕点

查看答案和解析>>

科目: 来源:2013年重庆一中中考化学三模试卷(解析版) 题型:选择题

菜地里许多植物出现了倒伏现象,并伴有叶色发黄、植株矮小的现象,可以使用下列的哪一种肥料( )
A.KNO3
B.KCl
C.Ca3(PO42
D.NH4H2PO4

查看答案和解析>>

同步练习册答案