相关习题
 0  79411  79419  79425  79429  79435  79437  79441  79447  79449  79455  79461  79465  79467  79471  79477  79479  79485  79489  79491  79495  79497  79501  79503  79505  79506  79507  79509  79510  79511  79513  79515  79519  79521  79525  79527  79531  79537  79539  79545  79549  79551  79555  79561  79567  79569  79575  79579  79581  79587  79591  79597  79605  211419 

科目: 来源:2013年福建省厦门市中考化学模拟试卷(解析版) 题型:选择题

甲醛可用作农药和消毒剂,下列关于甲醛(CH2O)的说法错误的是( )
A.从类别上看:甲醛属于有机物
B.从变化上看:甲醛完全燃烧只生成水
C.从宏观上看:甲醛由碳、氢、氧三种元素组成
D.从微观上看:1个甲醛分子由1个碳原子、2个氢原子和1个氧原子构成

查看答案和解析>>

科目: 来源:2013年福建省厦门市中考化学模拟试卷(解析版) 题型:选择题

下列实验操作中错误的是( )
A.
点燃酒精灯
B.
检查气密性
C.
滴管用后不洗涤直接插回原瓶
D.
塞野橡皮塞

查看答案和解析>>

科目: 来源:2013年福建省厦门市中考化学模拟试卷(解析版) 题型:选择题

甲、乙两种物质的溶解度曲线如图所示.下列叙述正确的是( )

A.依据溶解度曲线可判断,甲的溶解度比乙的大
B.将甲、乙的饱和溶液从t2℃降到t1℃,析出甲的质量大
C.将t2℃时甲的饱和溶液变为不饱和溶液,可采取降温的方法
D.t1℃时,甲和乙的饱和溶液各100g,其溶质的质量一定相等

查看答案和解析>>

科目: 来源:2013年福建省厦门市中考化学模拟试卷(解析版) 题型:选择题

如图为某一反应的微观示意图,下列说法错误的是( )

A.反应物、生成物都是纯净物
B.该反应符合质量守恒定律
C.反应前后原子的种类没有发生改变
D.化学方程式为2NaClO2+Cl2=2NaCl+ClO2

查看答案和解析>>

科目: 来源:2013年福建省厦门市中考化学模拟试卷(解析版) 题型:选择题

下列所示约图象与实验相符合的是( )

A.饱和Ca(OH)2溶液升温
B.镁在空气中燃烧
C.向含少量氢氧化钠的碳酸钠溶液中逐渐加入稀盐酸过量
D.等质量的镁片,锌片分别和足量的稀硫酸反应

查看答案和解析>>

科目: 来源:2013年福建省厦门市中考化学模拟试卷(解析版) 题型:选择题

下列解决生活中实际问题的方法与相应科学原理不对应的是( )
选项方法科学原理
A用酒精洗涤油污油污能溶解在酒精中
B醋除去热水瓶中的水垢水垢与醋酸反应
C森林着火开辟隔离带温度降低到着火点以下能灭火
D铝制容器不能盛酸性物质酸性物质会破坏铝的氧化膜,进而腐蚀金属铝

A.A
B.B
C.C
D.D

查看答案和解析>>

科目: 来源:2013年福建省厦门市中考化学模拟试卷(解析版) 题型:选择题

在一个密闭容器中,有甲、乙、丙、丁四种物质在一定条件下充分反应后,测得反应前后各物质的质量如下表:
物质
反应前质量/g522022
反应后质量/g待测11285
下列说法错误的是( )
A.该反应是分解反应
B.甲可能是该反应的催化剂
C.乙、丙变化的质量比为9:8
D.反应后甲的质量为0

查看答案和解析>>

科目: 来源:2013年福建省厦门市中考化学模拟试卷(解析版) 题型:填空题

如图中A、B、C、D是四种粒子的结构示意图,E是钙元素在元素周期表中的信息.请回答下列问题:(填序号)

(1)A、B、C、D四种粒子结构示意图中,属于同种元素的粒子是   
(2)A粒子的化学性质与B、C、D中哪一种粒子的化学性质相似   
(3)D中X=    ;从E图中你获得的信息有    ;(答一条)
(4)写出A与E元素组成化合物的化学式    .其中阳离子的符号为   

查看答案和解析>>

科目: 来源:2013年福建省厦门市中考化学模拟试卷(解析版) 题型:填空题

应用化学知识解释或解决生活中的问题:
(1)小煌按如图所示配方自制一瓶果汁汽水.请回答:
①含量最多且是人体重要营养素之一的物质是(写化学式)   
②测汽水的酸碱度可用   
③柠檬酸是一种酸.汽水中的气体是柠檬酸与配方中的    反应生成的,该成分可治疗胃酸过多,用化学方程式表示其原因:   
(2)氢氧化镁是一种新型的阻燃剂.当温度达到380℃时,氢氧化镁开始分解出水蒸气,同时生成耐高温的氧化镁固体.利用氢氧化镁这一性质,将它添加在塑料等易燃性材料中能起阻燃作用.根据灭火原理初步分析氢氧化镁能作阻燃剂的原因(答一点)   
(3)泡沫铁粉(铁粉包裹在泡沫塑料中)是-种新型的食品干燥剂和保鲜剂,当它露置于空气中,一段时间后会变成铁锈.为检验某泡沫铁粉是否还有效,可向其中滴加盐酸,若看到    现象,说明还有效,
(4)同温、同压下,相同体积的不同气体具有相同的分子数.原本以一氧化碳为燃料的家庭若要改用天然气作燃料,灶具的改进方法为:   
A.减少空气的进入量,增大天然气的进入量          B.增大两者的进入量
C.增大空气进入量或减少天然气的进入量            D.减少两者的进入量
(5)生活中常用    的方法降低水的硬度.

查看答案和解析>>

科目: 来源:2013年福建省厦门市中考化学模拟试卷(解析版) 题型:填空题

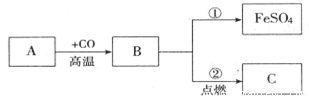
如图A、B、C三种物质都含有同一种元素,B是单质,A、C都是氧化物,C是一种黑色固体物质.请回答:

(1)写出B和C的化学式       
(2)写出反应①的化学方程式    ;写出A转化成B的化学方程式   
(3)指明反应②基本反应类型   

查看答案和解析>>

同步练习册答案