相关习题
 0  79466  79474  79480  79484  79490  79492  79496  79502  79504  79510  79516  79520  79522  79526  79532  79534  79540  79544  79546  79550  79552  79556  79558  79560  79561  79562  79564  79565  79566  79568  79570  79574  79576  79580  79582  79586  79592  79594  79600  79604  79606  79610  79616  79622  79624  79630  79634  79636  79642  79646  79652  79660  211419 

科目: 来源:2013年广东省中考化学第二次预测试卷(解析版) 题型:填空题

(4分)元素周期表是学习化学的重要工具,下表是元素周期表的一部分.

周期
ⅠA
11H

1.008
ⅡAⅢAⅣAⅤAⅥAⅦA
26C

12.01
7N

14.01
8O

16.00
9F

19.00
311Na

22.99
12Mg

24.31
根据所学知识回答:
(1)13号元素的离子符号是    ;11号元素属于    (选填“金属”或“非金属”);
(2)9号原子结构示意图为,其中x为    ; 由1、6、7和8号元素组成的盐的化学式为   

查看答案和解析>>

科目: 来源:2013年广东省中考化学第二次预测试卷(解析版) 题型:解答题

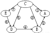
A,B,C,D,E是初中化学中常见的五种物质,它们都含有一种相同的元素,如图表示各物质之间的转化关系.其中,A为食盐的主要成分,B中含钡元素,D,E为有颜色的溶液,其他物质的溶液都为无色;⑤和⑥为置换反应,其他均为复分解反应.
(1)写出下列物质的化学式:
B______;C______.
(2)写出③的化学方程式:______;写出⑥的化学方程式:______.

查看答案和解析>>

科目: 来源:2013年广东省中考化学第二次预测试卷(解析版) 题型:解答题

硫酸铜晶体常用作农业和渔业的杀虫剂、杀菌剂.以下是由废铜料(含铁)生产硫酸铜晶体的流程.

(1)黑色固体B的化学式为______;滤液1中的溶质为______.
(2)操作a的名称是______;操作a中需要的玻璃仪器有烧杯、玻璃棒和______.
(3)反应①所发生化学反应的化学方程式为______;反应③所发生化学反应的化学方程式为______.
(4)已知Cu+2H2SO4(浓)△CuSO4+SO2↑+2H2O,从环保和经济的角度分析,对比途径I,Ⅱ,途径I的优点有______(写一个即可).

查看答案和解析>>

科目: 来源:2013年广东省中考化学第二次预测试卷(解析版) 题型:解答题

化学是一门以实验为基础的科学,化学所取得的丰硕成果,是与实验的重要作用分不开的.结合下列实验装置图1回答问题:
(1)写出指定仪器的名称:①______;②______.
(2)实验室用无水醋酸钠固体、NaOH和碱石灰共热制取密度比空气小、难溶于水的甲烷,可选用的发生装置是______(选填字母,下同),可选用的收集装置是______.
(3)实验室可用B、E装置制取的气体是______,该反应的化学方程式为______ 2H2O+O2

查看答案和解析>>

科目: 来源:2013年广东省中考化学第二次预测试卷(解析版) 题型:解答题

实验室有一瓶敞放着的氢氧化钠固体,同学们想探究这瓶固体的成分,请你一同参与探究并回答有关问题.
请你写出氢氧化钠在空气中变质的化学方程式:______,可加入试剂______,如有气泡产生则氢氧化钠变质.
提出猜想:
猜想1:这瓶固体的成分是NaOH;
猜想2:这瓶固体的成分是Na2CO3
猜想3:这瓶固体的成分是______.
实验与结论:
(1)取少量样品于试管中,加入适量蒸馏水,振荡,样品全部溶于水,向其中加入无色酚酞溶液,溶液由无色变成红色.甲同学认为这瓶固体含有NaOH,猜想1正确.乙同学认为甲同学的结论不正确,其理由是______.
(2)向(1)溶液中加入过量的CaCl2溶液,生成白色沉淀,沉淀后静置,溶液由红色变成无色.同学们认为猜想______是正确的.
问题讨论:
(1)丙同学认为实验时也可以先加入过量的CaCl2溶液,振荡、静置,然后在上层清液中加入无色酚酞溶液,你认为丙同学的说法______(选填“正确”或“不正确”),此时反应的化学方程式为______;若猜想3正确,则现象为______,其中无色酚酞溶液还可用一种盐溶液,如______(写化学式)来代替验证猜想.
(2)丁同学认为CaCl2溶液也可以改为Ca(OH)2溶液,你认为丁同学的说法______(选填“正确”或“不正确”),理由是______.

查看答案和解析>>

科目: 来源:2013年广东省中考化学第二次预测试卷(解析版) 题型:解答题

愈演愈烈的塑化剂事件是指不良厂商为了降低成本,向食品饮料中添加“起云剂”时用具有致癌、致畸胎、影响生殖系统正常发育的塑化剂代替比塑化剂贵5倍的棕榈油.塑化剂种类繁多,常见的一种是邻苯二甲酸二丁酯,分子式为C16H22O4.试回答:
(1)邻苯二甲酸二丁酯中各原子个数比为C:H:O=______;邻苯二甲酸二丁酯中各元素的质量比为C:H:O=______.
(2)邻苯二甲酸二丁酯相对分子质量是______.
(3)139g邻苯二甲酸二丁酯中含氧元素的质量是多少克?(写出计算过程)

查看答案和解析>>

科目: 来源:2013年广东省中考化学第二次预测试卷(解析版) 题型:解答题

实验室有一瓶未知浓度的BaCl2溶液,某同学取出150g该溶液于烧杯中,向其中逐滴加入溶质质量分数为26.5%的Na2CO3溶液,反应过程中生成沉淀的质量与所用Na2CO3溶液质量的关系如图所示.
请计算:
(1)配制26.5%的Na2CO3溶液80g,需要Na2CO3固体______g;水______g.
(2)BaCl2溶液的溶质质量分数是多少?(写出计算过程,结果保留到0.1%)
(3)完全反应时溶液的溶质质量分数是多少?(写出计算过程,结果保留到0.1%)

查看答案和解析>>

科目: 来源:2010年江苏省无锡市崇安区中考化学一模试卷(解析版) 题型:选择题

下列物质的用途,由物质的物理性质决定的是( )
A.液化石油气燃烧作燃料
B.锌与稀硫酸反应制取氢气
C.干冰升华用于人工降雨
D.用二氧化锰和双氧水来制取氧气

查看答案和解析>>

科目: 来源:2010年江苏省无锡市崇安区中考化学一模试卷(解析版) 题型:选择题

下列物质中属于纯净物的是( )
A.澄清的石灰水
B.黄铜
C.大理石
D.液氮

查看答案和解析>>

科目: 来源:2010年江苏省无锡市崇安区中考化学一模试卷(解析版) 题型:选择题

人体呼出的气体中,含量最多的气体是( )
A.氮气
B.氧气
C.二氧化碳
D.水蒸气

查看答案和解析>>

同步练习册答案