相关习题
 0  79517  79525  79531  79535  79541  79543  79547  79553  79555  79561  79567  79571  79573  79577  79583  79585  79591  79595  79597  79601  79603  79607  79609  79611  79612  79613  79615  79616  79617  79619  79621  79625  79627  79631  79633  79637  79643  79645  79651  79655  79657  79661  79667  79673  79675  79681  79685  79687  79693  79697  79703  79711  211419 

科目: 来源:2013年山东省济南市市中区中考化学一模试卷(解析版) 题型:选择题

已知某两种物质在光照条件下能发生化学反应,其微观示意图如下(一种小球代表一种原子),则下列说法正确的是( )

A.反应前后分子种类没有改变
B.该反应属于置换反应
C.该反应不符合质量守恒定律
D.图示中共有4种分子

查看答案和解析>>

科目: 来源:2013年山东省济南市市中区中考化学一模试卷(解析版) 题型:选择题

稀盐酸是化学实验中常用的试剂,但下列实验中,不宜使用稀盐酸的是( )
A.除去铜粉中混有的铁粉
B.除去熟石灰中的石灰石
C.区别硝酸银和硝酸钠溶液
D.检验暴露在空气中的NaOH固体是否变质

查看答案和解析>>

科目: 来源:2013年山东省济南市市中区中考化学一模试卷(解析版) 题型:选择题

向AgNO3和Cu(NO32混合溶液中加入一定量的锌粉,充分反应后再加入稀盐酸无明显现象.下列说法正确的是( )
A.一定有锌粉剩余
B.所得溶液中一定有Zn2+、Cu2+
C.一定有银粉生成
D.所得溶液中一定有Cu2+、Ag+

查看答案和解析>>

科目: 来源:2013年山东省济南市市中区中考化学一模试卷(解析版) 题型:选择题

取一定量的氧化铁与氧化铜的混合物,加入溶质质量分数为9.8%的稀硫酸100g,恰好完全反应生成盐和水.原混合物中氧元素的质量是( )
A.6.4g
B.3.2g
C.1.8g
D.1.6g

查看答案和解析>>

科目: 来源:2013年山东省济南市市中区中考化学一模试卷(解析版) 题型:填空题

按要求从氢氧化铜、氧化镁、氯化钠、水、氧气中选择合适的物质.将其化学式填写在下列空格中.
(1)一种非金属单质:   
(2)一种非金属氧化物:   
(3)一种难溶的碱:   
(4)一种可溶的盐:   

查看答案和解析>>

科目: 来源:2013年山东省济南市市中区中考化学一模试卷(解析版) 题型:填空题

二甲醚(CH3OCH3)是一种清洁燃料,能替代柴油作车用能源,具有广阔的市场前景.请回答下列问题:
(1)二甲醚属于    (填“酸”、“碱”、“盐”、“氧化物”或“有机物”中一种).
(2)二甲醚的一个分子中,C、H、O三种原子的个数之比为    (填最简整数比).
(3)二甲醚中,C、O两元素的质量之比为    (填最简整数比).
(4)二甲醚可由合成气(CO和H2)在一定条件下制得.用合成气制二甲醚时,还产生了一种可参与大气循环的常温下为液体的氧化物,该反应的化学方程式是:   

查看答案和解析>>

科目: 来源:2013年山东省济南市市中区中考化学一模试卷(解析版) 题型:填空题

某校化学实验小组的同学做了如下实验,请回答以下问题.

(1)图A所示实验可观察到“铁树”上浸有无色酚酞试液的棉团由白色变为    色,该实验中没有涉及的性质是    (填字母).
A.氨分子是不断运动的      B.氨分子有一定质量       C.浓氨水具有挥发性
(2)图B所示实验,将注射器中浓石灰水注入瓶中,会看到鸡蛋被“吞”入瓶中,该实验中涉及的化学方程式为   
(3)图C所示实验,当通过导管向热水中通入氧气时,白磷在水下燃烧,该实验说明燃烧需要的条件为:①可燃物;②达到燃烧所需要的最低温度;③   

查看答案和解析>>

科目: 来源:2013年山东省济南市市中区中考化学一模试卷(解析版) 题型:填空题

水是生命之源,生产之要,生活之基.泉城市民更要珍惜水、节约水、保护水.请完成下列问题:
(1)注意饮水安全,保证人体健康,在天然水净化过程中,人们常用活性炭去除异味和色素,这是利用活性炭的    性.
(2)若要测定大明湖水质的酸碱性强弱,最适宜的是(填序号)   
A.酚酞试液          B.pH试纸         C.石蕊试液
(3)水是最常用的溶剂.如图是甲、乙两种固体物质的溶解度曲线.
    ℃时,甲、乙两种物质的溶解度相等.
②t2℃时,将等质量的甲、乙两种物质加水溶解配制成饱和溶液,所得溶液质量的大小关系为:甲    乙(填“>”、“<”或“=”之一).
③把甲物质的不饱和溶液变为饱和溶液,下列有关说法正确的是    (填序号)
A.溶剂的质量一定变小         B.溶质的质量可能不变
C.溶质的质量分数一定变大     D.溶液的质量一定变大.

查看答案和解析>>

科目: 来源:2013年山东省济南市市中区中考化学一模试卷(解析版) 题型:解答题

下列装置常用于实验室制取气体.根据给出的装置回答下列问题:
(1)指出编号仪器名称:①______;②______.
(2)实验室利用C装置收集氧气的最佳时刻是______.用收集到的氧气完成硫粉燃烧实验后,还需向集气瓶内加入适量氢氧化钠溶液,目的是______(用化学方程式表示).
(3)制取并收集二氧化碳应选择的装置是______(从A--E中选择),使用该套装置制取气体的突出优点是______.制得的二氧化碳中常含有少量的氯化氢气体与水蒸气,欲使用F、G装置将以上杂质气体除去,则装置正确的连接顺序是:混合气体→______(用端口小写字母表示).

查看答案和解析>>

科目: 来源:2013年山东省济南市市中区中考化学一模试卷(解析版) 题型:填空题

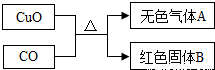
某化学兴趣小组根据以下图示进行模拟炼铜的实验,并对产物成分进行探究.
[提出问题]无色气体A有哪些成分?红色固体B可能是什么?
[猜想与假设]甲认为无色气体A一定是CO2,因为CO与CuO反应的化学方程式为    .乙认为红色固体B一定是Cu.
[交流与讨论]丙认为甲的猜想不一定正确,无色气体A除含CO2外,可能含CO,理由是   
[探究与反思]
(1)为验证甲的猜想,大家按以下图示进行实验,过程和现象如下(箭头表示气体流向):
由此,你认为甲的猜想    (选填“正确”或“不正确”).
(2)为验证乙的猜想,大家按以下图示进行实验探究,过程和现象如下:
经过分析,大家确认乙的猜想是错误的,理由是(要求写出分析过程):   
(3)为探究红色粉末M的组成,丁同学做了如下实验:
取洗净、烘干的7.2g红色粉末M,放在纯氧气流中加热,观察到粉末由红色逐渐变为黑色.充分反应,冷却、称量,质量为8.0g.将该黑色粉末放于足量稀硫酸中,黑色粉末全部溶解,得到蓝色溶液.大家分析、讨论、计算,最后得出红色粉末M的组成元素是    ,红色粉末M的化学式为   

查看答案和解析>>

同步练习册答案