相关习题
0 79654 79662 79668 79672 79678 79680 79684 79690 79692 79698 79704 79708 79710 79714 79720 79722 79728 79732 79734 79738 79740 79744 79746 79748 79749 79750 79752 79753 79754 79756 79758 79762 79764 79768 79770 79774 79780 79782 79788 79792 79794 79798 79804 79810 79812 79818 79822 79824 79830 79834 79840 79848 211419
科目:
来源:2013年山东省聊城市莘县中考化学一模试卷(解析版)
题型:填空题
2012年“世界水日”的宣传主题是“水与链式安全”.水是生命之源,我们应该了解水,爱护水资源.某化学兴趣小组对东昌湖的水质进行了相关研究调查:
(1)取回水样,静置后过滤.在实验室里,过滤要用到的玻璃仪器有 、漏斗和玻璃棒.
(2)若要测定东昌湖水质的酸碱性强弱,最适宜的是(填字母) .
A、酚酞试液 B、pH试纸 C、石蕊试液
(3)下列做法会造成水体污染的是(填字母) .
A、随意放置旧电池 B、含二氧化硫的工业废气任意排放
C、工业废水经处理达标后再排放 D、严格监管化肥和农药的使用
(4)“节约用水,从我做起.”请任举一生活中节约用水的措施: .
查看答案和解析>>
科目:
来源:2013年山东省聊城市莘县中考化学一模试卷(解析版)
题型:解答题
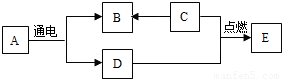
A、B、C、D、E五种物质之间的变化关系如图所示.其中B、C、D为单质,C为钢铁的主要成分.试回答:

(1)A、D的化学式是:A______; D______.
(2)请写出C→B、和C+D→E的化学方程式:C→B:______;C+D→E:______ Fe
3O
4
查看答案和解析>>
科目:
来源:2013年山东省聊城市莘县中考化学一模试卷(解析版)
题型:填空题
实验室制取气体所需的装置如图所示,请回答下列问题:

(1)实验室制取二氧化碳所选用的发生装置为
;收集装置为
(均填字母);选择气体收集方法时,气体的下列性质:①颜色 ②密度 ③溶解性 ④可燃性,必须考虑的是
(填序号).
(2)实验室制取氧气的化学方程式为
;若用C装置收集氧气,检验氧气已收集满的方法和现象是
.
查看答案和解析>>
科目:
来源:2013年山东省聊城市莘县中考化学一模试卷(解析版)
题型:填空题
某化学兴趣小组用铁丝、铜丝、银丝、稀硫酸和硫酸铜溶液验证铁、铜、银的金属活动性顺序,实验结束后,该兴趣小组又对该实验的废液进行了探究.
[提出问题]实验的废液中含有什么物质?
[分析总结]
(1)小明通过观察,认为废液中一定有含有硫酸铜,他是通过观察到什么现象得出此结论: .
(2)小青通过对反应物的分析,她认为废液中一定含有硫酸亚铁,她的依据是: .
[做出猜想]小倩提出废液中还可能含有硫酸;
[实验验证]
(1)小倩用pH试纸测得废液的pH小于7,证明废液中含有硫酸.用pH试纸测定溶液的pH的方法 .
(2)小黄向少量废液中滴加氢氧化钠溶液,也得到了相同及结论,小黄观察到的现象是 .
通过以上分析和实验,同学们得出废液中含有硫酸亚铁、硫酸铜和硫酸.
[拓展应用]
(1)若将废液中的溶质全部转化为硫酸亚铁,应向废中加入过量的 .
(2)反应完全后,过滤,滤渣中物质是 ,滤液中溶质为硫酸亚铁.
查看答案和解析>>
科目:
来源:2013年山东省聊城市莘县中考化学一模试卷(解析版)
题型:解答题
张华同学通过学习知道了碳酸钙高温下分解生成氧化钙和二氧化碳后,做了一个测定某石灰石中碳酸钙的质量分数的实验,他称取11.5g研碎的样品粉末进行四次高温加热、冷却、称量,记录数据如下(假如杂质反应前后不变)第一次8.5g,第二次7.9g,第三次7.1g,第四次7.1g,请根据实验回答和计算:
(1)第______次实验后碳酸钙已完全反应.
(2)完全反应后生成二氧化碳的质量?
(3)该石灰石样品中碳酸钙的质量分数?
查看答案和解析>>
科目:
来源:2010年上海市黄浦区中考化学三模试卷(解析版)
题型:选择题
具有“绿色环保、科技创新、燃料节能”的交通工具在世博园区内展示和应用,以下燃料最符合绿色环保的是( )
A.天然气
B.汽油
C.氢气
D.液化石油气
查看答案和解析>>
科目:
来源:2010年上海市黄浦区中考化学三模试卷(解析版)
题型:选择题
蒸馏水不能养鱼,因为蒸馏水中几乎不含( )
A.氧元素
B.氧原子
C.氢元素
D.氧分子
查看答案和解析>>
科目:
来源:2010年上海市黄浦区中考化学三模试卷(解析版)
题型:选择题
今年我国西南旱情严重,政府多次开展人工降雨活动.下列物质可用于人工降雨的是( )
A.氮气
B.干冰
C.水
D.面粉
查看答案和解析>>
科目:
来源:2010年上海市黄浦区中考化学三模试卷(解析版)
题型:选择题
2008年9月27日我国航天员成功完成了太空漫步.为解决航天员的呼吸问题,舱外航天服应能提供的物质是( )
A.氮气
B.氧气
C.二氧化碳
D.水
查看答案和解析>>
科目:
来源:2010年上海市黄浦区中考化学三模试卷(解析版)
题型:选择题
在物质的运动变化中只发生物理变化的有( )
A.食物腐败
B.光合作用
C.玻璃破碎
D.动物呼吸
查看答案和解析>>