相关习题
 0  79698  79706  79712  79716  79722  79724  79728  79734  79736  79742  79748  79752  79754  79758  79764  79766  79772  79776  79778  79782  79784  79788  79790  79792  79793  79794  79796  79797  79798  79800  79802  79806  79808  79812  79814  79818  79824  79826  79832  79836  79838  79842  79848  79854  79856  79862  79866  79868  79874  79878  79884  79892  211419 

科目: 来源:2012年辽宁省葫芦岛市中考化学试卷(解析版) 题型:解答题

学习化学可以帮助我们解决许多问题.
(1)小明到医院检查身体后,医生建议他多吃水果和蔬菜.医生主要让他补充的营养素是______.
(2)锅里的油一旦着火,可采取的灭火措施是______.
(3)为保证人身安全,进入久未开启的菜窖前,必须先做______实验.
(4)防毒面具的滤毒罐里盛放了一定量的活性炭,目的是用来除去有毒气体,这是利用了活性炭的______性.

查看答案和解析>>

科目: 来源:2012年辽宁省葫芦岛市中考化学试卷(解析版) 题型:解答题

如图是某固体物质的溶解度曲线.
(1)30℃时,该物质的溶解度为______g.
(2)50℃时,将30g该物质加入到100g水中,搅拌后得到的为______ (填“饱和”或“不饱和”)溶液;该溶液的溶质质量分数为______.

查看答案和解析>>

科目: 来源:2012年辽宁省葫芦岛市中考化学试卷(解析版) 题型:解答题

某同学为了探究铁生锈的条件,设计了如图所示的实验,一周后发现:A、B中铁钉未生锈,C中铁钉已生锈.
(1)A中蒸馏水的上面加入一层植物油的作用是______.
(2)由B中的现象获得的结论是______.
(3)根据铁生锈的条件,写出一种常用的防锈方法:______.
(4)铁制品表面若出现锈迹,可用一种物质将其除去,请写出有关的化学方程式:______.

查看答案和解析>>

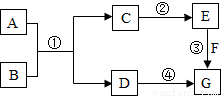
科目: 来源:2012年辽宁省葫芦岛市中考化学试卷(解析版) 题型:解答题

A~G都是初中化学中常见的物质,已知A、F为黑色固体,B、G为红色固体.它们的转化关系如图所示,部分反应物、生成物和反应条件已略去.
(1)反应①的化学方程式为______ 4Fe+3CO2

查看答案和解析>>

科目: 来源:2012年辽宁省葫芦岛市中考化学试卷(解析版) 题型:解答题

复习课上,老师准备了四瓶没有标签的白色固体,分别是碳酸钠、氢氧化钠、氯化铵和氯化钠,要求同学们设计实验方案进行鉴别.
小刚设计了如图所示的方案并进行实验(实验过程中每一步骤均取用原固体物质).
(1)所加试剂X是______,鉴别出氯化铵所依据的实验现象是______.
(2)所加试剂Y是______,试剂Y与被鉴别出的物质反应的化学方程式为:______.
(3)步骤3中用蒸馏水鉴别氢氧化钙和氯化钠,所依据的现象是______.

查看答案和解析>>

科目: 来源:2012年辽宁省葫芦岛市中考化学试卷(解析版) 题型:解答题

小明用过氧化氢溶液做实验室制取氧气的实验,有关反应的化学方程式为:______ 2H2O+O2

查看答案和解析>>

科目: 来源:2005年浙江省金华市中考化学试卷(解析版) 题型:选择题

下列词语描述天气的是( )
A.冬暖夏凉
B.阴转多云
C.四季如春
D.终年高温

查看答案和解析>>

科目: 来源:2005年浙江省金华市中考化学试卷(解析版) 题型:选择题

目前我市居民已经用上了由“西气东输”工程提供的质优价廉的天然气,天然气的主要成分是( )
A.甲烷
B.一氧化碳
C.氢气
D.乙醇

查看答案和解析>>

科目: 来源:2005年浙江省金华市中考化学试卷(解析版) 题型:选择题

世界卫生组织(WHO)将ClO2列为A级高效安全灭菌消毒剂,它在食品保鲜、饮用水消毒等方面有广泛应用.ClO2属于( )
A.氧化物
B.酸
C.碱
D.盐

查看答案和解析>>

科目: 来源:2005年浙江省金华市中考化学试卷(解析版) 题型:选择题

下列关于实验方法的归纳,错误的是( )
A.实验时点燃可燃性气体前,必须检验气体纯度
B.制取气体时,应先检查装置的气密性
C.给玻璃仪器加热时,均应垫上石棉网
D.取用液体药品可用滴管吸收,也可直接倾倒

查看答案和解析>>

同步练习册答案