相关习题
 0  79856  79864  79870  79874  79880  79882  79886  79892  79894  79900  79906  79910  79912  79916  79922  79924  79930  79934  79936  79940  79942  79946  79948  79950  79951  79952  79954  79955  79956  79958  79960  79964  79966  79970  79972  79976  79982  79984  79990  79994  79996  80000  80006  80012  80014  80020  80024  80026  80032  80036  80042  80050  211419 

科目: 来源:2013年江苏省南京市溧水县孔镇中学中考一模化学试卷(解析版) 题型:解答题

下列物质中,①生铁        ②冰水混合物        ③纯碱          ④金刚石
属于混合物的是______(用序号填空,下同),属于单质的是______,属于化合物的是______,属于氧化物的是______.

查看答案和解析>>

科目: 来源:2013年江苏省南京市溧水县孔镇中学中考一模化学试卷(解析版) 题型:填空题

俄国化学家门捷列夫在总结前人经验的基础上,通过艰辛的努力,终于提出了现代元素周期表的雏形.下表为元素周期表的部分元素的相关信息,利用下表回答相关问题

(1)请画出16号元素原子结构示意图    化学反应中该原子比较容易    (填“得到”或“失去”)电子变成离子;
(2)表示的是    (填离子符号);
(3)上表中最活泼的金属元素与地壳中含量最多的元素组成的化合物是    (填化学式,任意填写一种);
(4)上表中第二、三周期元素最外层电子数的变化规律是   

查看答案和解析>>

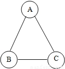
科目: 来源:2013年江苏省南京市溧水县孔镇中学中考一模化学试卷(解析版) 题型:解答题

A、B、C是三种不同类别的含有氧元素的化合物,物质间相互反应的关系如图所示(图中“─”表示相连的两种物质能在溶液中发生反应).若B为纯碱,A、C间的反应为复分解反应,回答下列问题:
(1)物质A、B、C的化学式是
A______ B______  C______
(2)物质A和C在溶液中反应的化学方程式是______.
(3)纯碱是一种用途是______.

查看答案和解析>>

科目: 来源:2013年江苏省南京市溧水县孔镇中学中考一模化学试卷(解析版) 题型:解答题

黑点表示氧原子,白点表示氢原子,请写出图示的化学方程式:______ 2H2O

查看答案和解析>>

科目: 来源:2013年江苏省南京市溧水县孔镇中学中考一模化学试卷(解析版) 题型:解答题

不同类别的物质间存在着一定的关系,如图1、2所示.(“-”表示相连的两种物质能发生反应,“→”表示某种物质可转化为另一种物质.)

(1)碳酸钠溶液、氢氧化钠溶液和稀盐酸之间的变化关系如图1所示,回答下列问题:
①乙物质是______,它的一种用途是______.
②写出“乙→丙”的化学方程式______.
(2)图2能体现某些物质间变化关系的是______.(填标号)

查看答案和解析>>

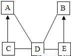
科目: 来源:2013年江苏省南京市溧水县孔镇中学中考一模化学试卷(解析版) 题型:填空题

A、B、C、D、E是初中化学中常见的不同类别的物质(物质按单质、氧化物、酸、碱、盐分类).已知A是单质;C是红棕色固体;E是水溶液可使酚酞试液变为红色的盐.图中“-”表示相连的物质两两之间可以发生反应,“→”表示由某一物质可制得另一物质(部分反应物、生成物及反应条件已略去).回答下列问题:
(1)写出下列物质的化学式:A    ,E   
(2)由E转化为B的化学方程式为    ;由C转化为A的原理在工业上常用于   

查看答案和解析>>

科目: 来源:2013年江苏省南京市溧水县孔镇中学中考一模化学试卷(解析版) 题型:解答题

某造纸厂排放的废水中含有Na2CO3和NaOH.为了测定废水中Na2CO3的质量分数,取废水100g,逐滴加入稀盐酸至过量,测得生成气体质量与所加稀盐酸质量关系如图所示:
请回答下列问题:
(1)反应生成的气体质量为______g;与废水中NaOH反应掉的盐酸量为:______
(2)该废水中Na2CO3的质量分数和所用稀盐酸溶质的质量分数.

查看答案和解析>>

科目: 来源:2013年江苏省南京市溧水县孔镇中学中考一模化学试卷(解析版) 题型:解答题

某化学兴趣小组在实验室发现了一瓶标签受到腐蚀(如图所示液,他们对此产生了兴趣.
[提出问题]这瓶溶液究竟是什么?
经过询问实验老师平时的药品保管得知,这瓶无色溶液应该是碳酸钠、碳酸氢钠、氯化钠、硫酸钠、硝酸钠中的某一种.为了确定该药品,他们首先进行了理论分析:
(1)小明根据标签上的组成元素认为一定不可能是______.
(2)小英提出,碳酸氢钠、硝酸钠也不可能,你认为她的依据是______.
为了确定该溶液究竟是剩余两种盐的哪一种,他们设计了如下实验.
[设计实验]
实验操作实验现象
取少量样品于试管中,慢慢滴加BaCl2溶液,静置一段时间,倾去上层清液,向沉淀中继续滴加稀盐酸先出现白色沉淀,后产生大量气泡
[实验结论]该瓶无色溶液是______.
生成白色沉淀过程的化学方程式是______.
[实验反思]小强认为上述设计实验还可简化,仍能达到目的.小强的实验操作是______.经查阅资料得知上述五种盐里碳酸钠、碳酸氢钠的溶液呈碱性,其余三种盐的溶液呈中性,请你再设计一种实验方法,确定该溶液究竟是哪种盐.简述实验操作和现象______.

查看答案和解析>>

科目: 来源:2005年四川省乐山市中考化学试卷(解析版) 题型:选择题

下列变化中,属于化学变化的是( )
A.干冰升华
B.酒精挥发
C.食物腐败
D.电灯发光

查看答案和解析>>

科目: 来源:2005年四川省乐山市中考化学试卷(解析版) 题型:选择题

下列物质中,属于化合物的是( )
A.氧化钙
B.石油
C.硫
D.空气

查看答案和解析>>

同步练习册答案