相关习题
 0  79917  79925  79931  79935  79941  79943  79947  79953  79955  79961  79967  79971  79973  79977  79983  79985  79991  79995  79997  80001  80003  80007  80009  80011  80012  80013  80015  80016  80017  80019  80021  80025  80027  80031  80033  80037  80043  80045  80051  80055  80057  80061  80067  80073  80075  80081  80085  80087  80093  80097  80103  80111  211419 

科目: 来源:2011年江苏省无锡市育才中学中考化学二模试卷(解析版) 题型:填空题

有A、B、C、D四种元素,人体缺少A元素易贫血;B元素的原子结构示意图为;C元素的单质是最清洁的燃料;,D元素是地壳中含量最多的金属元素.
则:A元素是    ;B的离子符号是    ;C的单质是    ;B、C、D三种元素组成的化合物是   

查看答案和解析>>

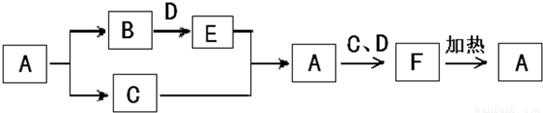
科目: 来源:2011年江苏省无锡市育才中学中考化学二模试卷(解析版) 题型:填空题

A~F都是初中化学中的常见物质,且有如图所示转化关系.A能作建筑材料,B能作食品干燥剂.

(1)E的化学式为   
(2)A生成B、C 的方程式   
(3)含有较多F的水叫   
(4)写出A和C、D 生成F的反应方程式   

查看答案和解析>>

科目: 来源:2011年江苏省无锡市育才中学中考化学二模试卷(解析版) 题型:填空题

氯碱厂电解饱和食盐水溶液制取NaOH的工艺流程示意图如图:

依据图,完成下列填空:
(1)粗盐中含有的较多的可溶性杂质(氯化镁、氯化钙、硫酸钠等)和    ,请用适当的数字和符号填空
②2个氯分子    ③粗盐中含有的一种阳离子   
④零价的氢元素    ⑤硫酸钠   
(2)工业食盐含有较多杂质,精制过程中加NaOH的作用是   
(3)在电解过程中,发生反应的化学方程式为   
电解后溶液的pH    .(填“升高”、“不变”、“降低”)
(4)粗盐中硫酸钠含量较高,必须添加钡试剂除去硫酸根离子,该钡试剂可以是   
A.Ba(OH)2    B.Ba(NO32   C.BaCl2
(5)为了有效地除去氯化镁、氯化钙、硫酸钠,加入试剂的合理顺序为   
A.先加入NaOH,后加入Na2CO3,再加入钡试剂
B.先加入NaOH,后加入钡试剂,再加入Na2CO3
C.先加入钡试剂,后加入NaOH,再加入Na2CO3
D.先加入钡试剂,后加入Na2CO3,再加入NaOH
(6)脱盐工序中利用NaOH和NaCl在溶解度上的差异,通过    (填写操作名称)、冷却、过滤除去NaCl.
(7)用隔膜法电解食盐水时,电解槽分隔为阳极区和阴极区,防止Cl2和NaOH反应,Cl2和NaOH溶液充分接触,产物是NaClO和氯化钠和水,请写出Cl2和NaOH溶液反应的化学方程式   

查看答案和解析>>

科目: 来源:2011年江苏省无锡市育才中学中考化学二模试卷(解析版) 题型:解答题

请根据题意回答问题(在下列(1)(2)两小题中任选一题回答,若两小题都回答,则以第(1)小题的答案来评定分数)
(1)请举出两例生活中常见的缓慢氧化现象.
(2)写出汽车燃料使用乙醇汽油的两点好处.

查看答案和解析>>

科目: 来源:2011年江苏省无锡市育才中学中考化学二模试卷(解析版) 题型:解答题

下图是实验室制取气体的一些装置,据图回答有关问题.(以下所选装置均填装置序号)

(1)写出指定仪器的名称:①______;②______;
(2)写出一个初中化学中用装置B、F制气体的化学方程式______;装置C试管口略向下倾斜的原因是______;
(3)实验室在常温下用块状电石与水反应制取微溶于水的乙炔气体,该反应必须严格控制加水速度,以免剧烈反应放热引起发生装置炸裂.你认为上图中最适合制取乙炔气体的发生装置是______;如果用如图所示装置收集乙炔,气体应从______(填“a”或“b”)端管口通人.

查看答案和解析>>

科目: 来源:2011年江苏省无锡市育才中学中考化学二模试卷(解析版) 题型:解答题

小彬同学家新买了水龙头,从说明书上了解到该水龙头是铜质镀铬的.他想起在学习金属性质时用到的金属活动性顺序中没有铬,为了了解铬与常见金属铝、铜在金属活动性顺序中的相对位置关系,进行如下探究活动.
【查阅资料】铬(Cr)是银白色有光泽的金属,在空气中表面能生成抗腐蚀性的致密氧化膜.铬能与稀硫酸反应,生成蓝色的硫酸亚铬( CrSO4)溶液…
铝是银白色有光泽的金属,能与稀硫酸反应,生成无色的硫酸铝溶液…
【预测】三种金属在金属活动性顺序中的相对位置关系:
①Cr  Al  Cu        ②Al  Cr  Cu    ③Al  Cu  Cr
【实验过程】取大小相同的三种金属薄片,用砂纸打磨光亮.
实验一实验二实验三

实验
方案
实验
现象
铬片表面产生气泡缓慢,溶液变蓝色.______铝片表面产生气泡较快.
结论铬能和稀硫酸发生反应,反应速率较慢.铜不与稀硫酸反应______
三种金属在金属活动性顺序中的相对位置关系是______(填①②③)
【回答问题】(1)用砂纸打磨金属片的目的是______.
(2)实验一所发生反应的化学方程式是______.
(3)小清认为只要选用三种药品进行实验就可以得出三种金属在金属活动性顺序中的相对位置关系,这三种药品可以是______.(填化学式)
【归纳】比较金属活动性强弱的方法有:通过金属与酸溶液反应判断金属活动性强弱;还有______.

查看答案和解析>>

科目: 来源:2011年江苏省无锡市育才中学中考化学二模试卷(解析版) 题型:解答题

科学家经过多年研究证明,有一些同学爱吃的小包装零食中,含一定量的有毒、有害、致病的化学物质,如某些油炸食品中含有致癌物质丙烯酰胺.请你根据丙烯酰胺的化学式______,完成下列各空:
(1)丙烯酰胺属于______(填“无机物”或“有机物”);
(2)丙烯酰胺的相对分子质量为______;
(3)一个丙烯酰胺分子中含有的原子总数是______;
(4)丙烯酰胺中碳元素和氧元素的质量比是______.

查看答案和解析>>

科目: 来源:2011年江苏省无锡市育才中学中考化学二模试卷(解析版) 题型:解答题

某班一次社会实践活动是到连云港碱厂参观,该厂主要产品之一是小苏打.参观结束,同学们带回一些化验室里废弃的小苏打样品,来测定其中小苏打的质量分数(假设该样品中只含有氯化钠一种杂质).取样品9.4g逐滴加入稀盐酸,生成CO2气体的质量与滴加稀盐酸的质量关系如图所示,NaHCO3+HCl═NaCl+H2O+CO2↑求:(计算结果保留到小数点后一位数字)
(1)样品中小苏打的质量分数.
(2)恰好完全反应时,所得溶液中溶质的质量分数.

查看答案和解析>>

科目: 来源:2012年宁夏中卫四中中考化学模拟试卷(四)(解析版) 题型:选择题

加热某种固体有气体产生,对于这一变化的分析正确的是( )
A.是化学变化
B.可能是物理变化,也可能是化学变化
C.是物理变化
D.既不是物理变化,也不是化学变化

查看答案和解析>>

科目: 来源:2012年宁夏中卫四中中考化学模拟试卷(四)(解析版) 题型:选择题

“低碳”是指在生产和生活中不排放或少排放二氧化碳气体.下列能源的使用最符合“低碳”理念的是( )
A.煤
B.石油
C.天然气
D.太阳能

查看答案和解析>>

同步练习册答案