相关习题
 0  80087  80095  80101  80105  80111  80113  80117  80123  80125  80131  80137  80141  80143  80147  80153  80155  80161  80165  80167  80171  80173  80177  80179  80181  80182  80183  80185  80186  80187  80189  80191  80195  80197  80201  80203  80207  80213  80215  80221  80225  80227  80231  80237  80243  80245  80251  80255  80257  80263  80267  80273  80281  211419 

科目: 来源:2011年江苏省镇江市实验初中中考化学二模试卷(解析版) 题型:填空题

下图某化工厂为综合利用生产过程中的副产品CaSO4而与相邻的化肥厂联合设计的制备(NH42SO4的工艺流程.
(1)该流程中可循环使用的物质是   
(2)写出沉淀池中发生的主要化学反应的化学方程式   

查看答案和解析>>

科目: 来源:2011年江苏省镇江市实验初中中考化学二模试卷(解析版) 题型:解答题

请结合图示实验装置,回答下列问题.
(1)图中a、b仪器的名称:a______,b______.
(2)用高锰酸钾固体制氧气,选用的发生装置是______(填“A”、“B”或“C”),装入药品前应先______,反应的化学方程式是______ K2MnO4+MnO2+O2

查看答案和解析>>

科目: 来源:2011年江苏省镇江市实验初中中考化学二模试卷(解析版) 题型:填空题

化学小组同学在课外读物中看到:“通常CO2可作灭火剂,但有些物质(如Na)着火,不能用CO2熄灭.”他们决定探究CO2
Na反应的产物.
【提出猜想】CO2与Na反应可能生成4种物质:C、CO、Na2O、Na2CO3
【查阅资料】
①Na是非常活泼的金属,常温下与O2、H2O等物质反应.
②碱性的Na2CO3溶液与中性的CaCl2溶液发生复分解反应.
③Na2O是白色固体,与H2O反应生成NaOH.
④向氯化钯(PdCl2)溶液中通入CO,产生黑色沉淀.
【实验过程】同学们在老师的指导下设计了如下图所示装置(部分夹持仪器已略去)

(1)实验记录
序号实验操作主要实验现象实验结论和解释
打开a,关闭b,由长颈漏斗注入稀盐酸A中产生大量气泡
E中出现浑浊
E中反应的化学方程式为   
当E中出现浑浊时,打开b,关闭a,点燃酒精灯D中Na剧烈燃烧,产生白烟内壁附着黑色、白色固体
G中产生黑色沉淀
反应产物一定有       
取D中白色固体于试管中,加水溶解,再加入石灰水产生白色沉淀反应产物还有   
(2)实验反思
①实验记录②中,E中出现浑浊,再点燃酒精灯的目的是   
②若无装置C,对实验有影响的物质是   
③检验第4种物质是否存在的实验方案:取D中白色固体于试管中,       

查看答案和解析>>

科目: 来源:2011年江苏省镇江市实验初中中考化学二模试卷(解析版) 题型:解答题

有一种不纯的Na2CO3固体粉末,可能含有K2SO4、BaSO4、CuSO4、NaCl、CaCl2中的一种或几种.为确定含有的杂质,现进行下列实验:
(1)取该样品溶于水,得无色溶液,则该固体粉末中一定不含有______.
(2)取上述溶液适量,滴加过量的BaCl2溶液,出现白色沉淀,再加入过量的稀硝酸,沉淀部分消失并产生气泡.则此固体粉末中一定含有的杂质是______.
(3)取步骤(2)实验后的上层清液,加入稀硝酸、硝酸银溶液,出现白色沉淀,由此该同学得出此固体粉末中一定含有NaCl,你认为此结论是否正确______(填“是”或“否”).
(4)对于是否含有NaCl,你认为应对步骤(2)作如何改进______(若步骤(3)填“是”,此空不作答).

查看答案和解析>>

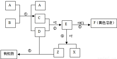
科目: 来源:2011年江苏省镇江市实验初中中考化学二模试卷(解析版) 题型:解答题

右图表示某些物质间转化关系(反应条件和部分产物已省略).其中A、E为固体氧化物,且A为黑色粉末;B、D是由相同元素组成的无色液体,且B具有消毒杀菌作用;C、Y、Z为无色气体,其中Y有毒;X是最常见的金属.
请回答下列问题:
(1)反应①中A物质的作用是______;有机物的化学式是______;
(2)反应③、④的化学方程式:
③______;④______ 2Fe+3CO2

查看答案和解析>>

科目: 来源:2011年江苏省镇江市实验初中中考化学二模试卷(解析版) 题型:解答题

小刚、小军、小红对一久置的NaOH白色粉末的成分进行探究并测定其成分的含量.
一、成分的确定
三位同学都作出以下的猜想:
①可能是NaOH;②可能是Na2CO3;③可能是NaOH与Na2CO3的混合物.做出②③猜想的依据是______(用化学方程式表示)
为了验证①②③猜想,他们分别做了下面的实验.
(1)小刚取少量白色粉末于试管中,再滴加稀HCl,有气泡产生,由此可推出白色粉末中一定含有______,肯定猜想______(填序号)是错误的.
(2)小军又取少量白色粉末溶于水,向所得溶液中滴加酚酞试液,溶液变为红色.由此小军结合小刚的实验,认为猜想③是正确的.小红却认为小军的所得结论不确切,因为______.
(3)为探究白色粉末是否含有NaOH,小红设计了如下实验方案:

①沉淀B的化学式为______.
②在操作1中要用到玻璃棒,其作用是______;在操作2中,除要用到铁架台(带铁圈)、烧杯、滤纸、玻璃棒外,还需补充的玻璃仪器是______.
③小刚认为小红的这个方案也有问题,理由是______.但只要稍加改进,就可以证明粉末中还含有NaOH,则小刚改进的方法是______.
小刚对小红的实验作了正确的改进后进行了实验,实验现象和小红的一致,由此确定猜想③是正确的.
二、各成分含量的测定
三位同学利用电子天平共同作了以下测定实验.

实验数据记录如下:
称   量   项   目称   量  时 间质量(g)
试样10.00
装置+稀硫酸质量241.20
装置+稀硫酸质量+试样反应开始后15秒249.20
装置+稀硫酸质量+试样反应开始后35秒249.00
装置+稀硫酸质量+试样反应开始后55秒249.00
(1)写出锥形瓶中发生反应化学方程式:______;______.
(2)试通过分析表中数据计算出试样中各成份的质量分数.
三、实验反思
有同学提出按上述实验所测得试样中Na2CO3质量分数会偏小,该同学的理由是(实验操作均正确):______.

查看答案和解析>>

科目: 来源:2011-2012学年浙江省杭州市宋城华美学校九年级(上)期末化学试卷(解析版) 题型:选择题

“长征2号F”型运载火箭在升空时发生的下列变化属于化学变化的是( )
A.火箭点火
B.导流槽内的水受热汽化
C.隔热材料脱落
D.整流罩脱落

查看答案和解析>>

科目: 来源:2011-2012学年浙江省杭州市宋城华美学校九年级(上)期末化学试卷(解析版) 题型:选择题

我国科学家发现,亚硒酸钠能消除加速人体衰老的活性氧,亚硒酸钠中硒元素(Se)为+4价,氧元素为-2价,则亚硒酸钠的化学式为( )
A.Na2SeO3
B.Na2SeO4
C.NaSeO3
D.Na2SeO2

查看答案和解析>>

科目: 来源:2011-2012学年浙江省杭州市宋城华美学校九年级(上)期末化学试卷(解析版) 题型:选择题

下列关于空气中各组成成分说法正确的是( )
A.空气中的O2只有点燃时才能发生化学反应
B.空气中的CO2是导致酸雨的主要原因
C.空气中的N2可作为生产氮肥的原料
D.空气中的稀有气体没有任何使用价值

查看答案和解析>>

科目: 来源:2011-2012学年浙江省杭州市宋城华美学校九年级(上)期末化学试卷(解析版) 题型:选择题

我们的生活离不开水.下列有关水的认识中错误的是( )
A.自然界中的水都是混合物
B.可用肥皂水来区分硬水和软水
C.使用无磷洗衣粉有利于保护水资源
D.电解水时,正极产生的气体是氢气

查看答案和解析>>

同步练习册答案