相关习题
 0  80104  80112  80118  80122  80128  80130  80134  80140  80142  80148  80154  80158  80160  80164  80170  80172  80178  80182  80184  80188  80190  80194  80196  80198  80199  80200  80202  80203  80204  80206  80208  80212  80214  80218  80220  80224  80230  80232  80238  80242  80244  80248  80254  80260  80262  80268  80272  80274  80280  80284  80290  80298  211419 

科目: 来源:2011年江苏省泰州二中附中中考化学二模试卷(解析版) 题型:填空题

按要求写出化学用语或写出化学用语对应的含义:
(1)地壳中含量最多的金属元素    ; (2)保持氯气化学性质的最小粒子   
(3)2MnO4-    ;      (4)最简单的有机物   

查看答案和解析>>

科目: 来源:2011年江苏省泰州二中附中中考化学二模试卷(解析版) 题型:填空题

化学就在我们身边,它能改善我们的生活.请从A.氧气  B.纯碱  C.氮气    D.无机盐  E.石油  F.烧碱  G.葡萄糖中选择适当的物质填空(填字母).
(1)空气中体积分数最大的是    ; 
 (2)侯氏联合制碱法中的“碱”是   
(3)为人体提供能量的是   

查看答案和解析>>

科目: 来源:2011年江苏省泰州二中附中中考化学二模试卷(解析版) 题型:填空题

如图中的①、②是氟元素、钙元素在元素周期表中的信息,A、B、C、D是四种粒子的结构示意图.请你回答:

(1)钙元素的相对原子质量为    ,氟元素属于第    周期的元素;
(2)X=   
(3)A、B、C、D属于同种元素的粒子是    (填序号);
(4)A粒子的化学性质与B、C、D中哪一种粒子的化学性质相似    (填序号).

查看答案和解析>>

科目: 来源:2011年江苏省泰州二中附中中考化学二模试卷(解析版) 题型:填空题

2011年3月11日,日本发生9.0级大地震,造成数百万人饮水困难.
(1)生活中既能降低水的硬度,又能杀菌消毒的方法是   
(2)我国政府向日本提供了人道主义援助,援助的物质包括:一次性防护服.活性炭防护口罩.骨科内外固定材料等.其中防护口罩主要利用了活性炭的    性.
(3)日本福岛核泄漏事故发生之后,中国全面安检核设施,暂停审批核电项目.关于和平利用核能的意义在于:①开发核能可节约化石能源;②核能是可再生能源;③可减少温室效应;④可减少二氧化硫排放,防止形成酸雨.其中理解正确的是    (填序号).

查看答案和解析>>

科目: 来源:2011年江苏省泰州二中附中中考化学二模试卷(解析版) 题型:填空题

上海联合调查组严查染色馒头相关企业和超市,发生某些公司在生产过程中滥用食品添加剂,回收过期馒头再利用等问题.使用山梨酸钾用在馒头中防止馒头发霉,甜蜜素用在馒头中代替蔗糖,降低生产成本.则回答:
(1)“染色”馒头中添加柠檬黄PbCrO4,铬酸铅会使人体致癌,已被明文禁用.已知铅元素化合价为+2,则铬元素(Cr)的化合价为   
(2)人体所必需的钙、铁、锌、硒等化学元素仅从食物中摄取不足时,可通过食品添加剂和保健药剂来予以补充,这里的“钙、铁、锌、硒”是指    (选“原子”、“分子”或“元素”),其中属于人体所需的常量元素是    (名称).
(3)甜密素是一种常用甜味剂,其甜度是蔗糖的30~40倍,若经常食用摄入超标的甜蜜素,会对人体的肝脏和神经系统造成危害.蔗糖是人体所需六种营养物质中的   

查看答案和解析>>

科目: 来源:2011年江苏省泰州二中附中中考化学二模试卷(解析版) 题型:填空题

2010年11月15日,上海静安区高层住宅发生大火,本次火灾得以在短时间内急速蔓延烧透整栋建筑物,元凶极有可能是施工队所使用的保温材料聚氨酯(PU)材料.事故现场违规使用大量尼龙网、聚氨酯泡沫等易燃材料,由四个无证电焊工违章操作引起.则回答下列问题:
(1)聚氨酯泡沫塑料属于    (填“有机”或“无机”)材料.并根据这次火灾,回答聚氨酯泡沫塑料的一点化学性质   
(2)溅落的电火花在引发这场特大火灾中所起的作用是     (填标号)
A.提供氧气      B.使可燃物的温度达到着火点     C.提供可燃物
(3)聚氨酯材料的保温性能好,但阻燃性能差,易燃加速火势蔓延,且快速释放出有毒气体.燃烧速度快导致火势加速蔓延,燃烧时产生的烟气中含有一种能与血液中血红蛋白结合的有毒气体,该气体的化学式为   
(4)氢氧化镁是一种新型的阻燃剂.当温度达到380℃时,氢氧化镁开始分解出水蒸气,同时生成耐高温的氧化镁固体.利用氢氧化镁这一性质,将它添加在塑料等易燃性材料中能起阻燃作用.根据灭火原理初步分析氢氧化镁能作阻燃剂的原因为   
则氢氧化镁受热分解的化学方程式为   
发生反应的基本类型为   

查看答案和解析>>

科目: 来源:2011年江苏省泰州二中附中中考化学二模试卷(解析版) 题型:填空题

如图所示,在室温情况下,烧杯中盛装的是甲物质的溶液,试管①中盛装的是乙物质的溶液,试管②中盛装的是丙物质的溶液.当它们由室温升到80℃时,发现烧杯中甲物质没有明显变化,而试管①中盛装的是乙物质全部溶解,试管②中有丙物质析出.请你据此现象回答下列有关问题:

(1)室温时,    (选填“烧杯”、“试管①”或“试管②”)中溶液可能是不饱和溶液;
(2)上图能表示甲物质的溶解度曲线的是    (选填a、b或c,下同),能表示丙物质的溶解度曲线的是   
(3)若乙物质溶液中混有少量的甲物质,可采取的提纯方法是    (选填“降温结晶”、“蒸发结晶”);
(4)若将试管①从烧杯中取出冷却至室温后,从溶液中析出的固体质量为    g;
(5)在温度    时,乙物质的饱和溶液一定比甲物质的饱和溶液溶质质量分数更大.

查看答案和解析>>

科目: 来源:2011年江苏省泰州二中附中中考化学二模试卷(解析版) 题型:解答题

某固体可能含有Ca(OH)2、Na2SO4、Na2CO3、FeCl3、KCl中的一种或几种,现对其进行如下实验:
①取少量固体于试管中,加适量蒸馏水,固体完全溶解成无色透明溶液
②取少量上述溶液,加过量稀硫酸,有气泡产生
③取②所得溶液少量,滴加BaCl2溶液,产生白色沉淀
分析以上实验现象,对原固体组成进行推断:一定有______,一定没有______.若要对原固体中可能存在的物质进行鉴别,则取①所得溶液少许,加入______,如果出现白色沉淀,说明有______.

查看答案和解析>>

科目: 来源:2011年江苏省泰州二中附中中考化学二模试卷(解析版) 题型:解答题

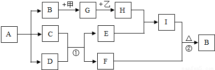
如图是有关物质相互转化关系的示意图.其中A为绿色固体、B与I组成元素相同、G为蓝色溶液、E为有机物

(1)A的化学式是______、H的名称为______;
(2)反应①在自然界中称为______;
(3)写出反应①、②的化学方程式:反应①______叶绿素C6H12O6+6O2

查看答案和解析>>

科目: 来源:2011年江苏省泰州二中附中中考化学二模试卷(解析版) 题型:解答题

通过一年的化学学习,你已经掌握了实验室制取气体的有关规律,以下是老师提供的一些实验装置,根据下图回答下列问题:

(1)关闭B装置中的止水夹后,从长颈漏斗向锥形瓶中注入一定量的水,静止后如图所示,则B装置是否漏气?______(填“漏气”、“不漏气”或“无法确定”);
(2)如果实验室用A装置来制取氧气,同时要收集一瓶用于做蜡烛燃烧实验的氧气,则最好的收集方法是______;(填字母编号)
(3)通过查阅资料得知:氨气(NH3)是一种密度比空气小且极易溶于水的气体,其水溶液称为氨水.小枫同学用加热氯化铵和氢氧化钙的固体混合物来制取氨气,写出有关化学方程式______ CaCl2+2NH3↑+2H2O

查看答案和解析>>

同步练习册答案