相关习题
 0  80132  80140  80146  80150  80156  80158  80162  80168  80170  80176  80182  80186  80188  80192  80198  80200  80206  80210  80212  80216  80218  80222  80224  80226  80227  80228  80230  80231  80232  80234  80236  80240  80242  80246  80248  80252  80258  80260  80266  80270  80272  80276  80282  80288  80290  80296  80300  80302  80308  80312  80318  80326  211419 

科目: 来源:2010年重庆一中中考化学一模试卷(解析版) 题型:选择题

张红同学出现了腹泻的症状,医生建议暂时不吃富含蛋白质和油脂的食物,张红同学应该选择的早餐是( )
A.油条和豆浆
B.鸡蛋和牛奶
C.馒头和稀饭
D.肯德基和酸奶

查看答案和解析>>

科目: 来源:2010年重庆一中中考化学一模试卷(解析版) 题型:选择题

小军对一些学过的知识进行了归类,有错误的一组是( )
A.常见的干燥剂:浓硫酸、碱石灰、生石灰
B.常见的碱:纯碱、烧碱、熟石灰
C.常见的合金:生铁、钢、黄铜
D.常见营养素:蛋白质、维生素、无机盐

查看答案和解析>>

科目: 来源:2010年重庆一中中考化学一模试卷(解析版) 题型:选择题

下表所列实验设计及操作,其现象足以说明结论的是( )
实验操     作现  象结  论
将浓盐酸和碳酸钠反应放出
的气体通入石灰水中
石灰水始终
未变浑浊
该石灰水
一定变质
向滴有酚酞的稀氢氧化钠溶液中滴
加一定量的稀硫酸
红色褪去氢氧化钠与
硫酸一定发
生了反应
将充满二氧化碳气体的试管倒扣在盛
有很稀的氢氧化钠溶液的水槽中
试管内液面上升二氧化碳与氢氧化钠一定发生了反应
将集满氢气的试管移近酒精灯的火焰未听到爆鸣声氢气一定
纯净了

A.①
B.②
C.③
D.④

查看答案和解析>>

科目: 来源:2010年重庆一中中考化学一模试卷(解析版) 题型:填空题

有甲、乙、丙三幅元素含量示意图.

(1)推测元素分布领域:    (填序号)依次表示了人体中,海水中,地壳中元素的含量.
(2)用三幅图中元素的符号、由它们形成的粒子符号或化学式填空:
①地壳中含量最多的元素是    ;  ②青少年缺    易得佝偻病;③属于人体所需的微量元素是    ; ④能作氮肥的盐是    ;⑤海水中含有的粒子有   

查看答案和解析>>

科目: 来源:2010年重庆一中中考化学一模试卷(解析版) 题型:填空题

污染大气的一氧化碳和一氧化氮部分来自汽车尾气,随着汽车数量增加,空气质量问题日益受到关注.回答下列问题:
(1)若汽车排气管加催化转换器,则一氧化碳和一氧化氮会相互作用生成二氧化氮和氮气,从而有效改善空气质量,该反应的化学方程式为   
(2)下图是该化学反应的微观过程模拟图,据图可知,化学反应的实质是    .(填序号)

①分子间隙发生了改变
②分子分成原子,原子重新组合成新的物质的分子过程.
(3)上述内容涉及了物质、分子、原子、化学性质等四个概念,据你的理解,补充完成以下概念关系图.

查看答案和解析>>

科目: 来源:2010年重庆一中中考化学一模试卷(解析版) 题型:填空题

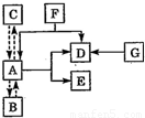
自然界中存在着氧循环、碳循环、水循环等,如右图所示,其中A、B、C就是这些循环中的一种化合物的三种状态.A、F常温下是液体,D能使带火星木条复燃.(图中A-F都是初中常见的物质)
(1)若C为分子间间隔最大时的状态,B物质的名称是   
(2)A生成D反应属于的基本反应类型是   
(3)图中F反应的化学方程式为   
(4)实验室用G制取D的化学方程式为   

查看答案和解析>>

科目: 来源:2010年重庆一中中考化学一模试卷(解析版) 题型:填空题

据图中硫酸钠的溶解度曲线回答下列问题.
(1)25℃时,硫酸钠的溶解度约为   
(2)将50g硫酸钠溶解于100g 水中成为饱和溶液,此时的温度是   
(3)要使40℃时的硫酸钠饱和溶液析出晶体,可以采取的措施有   
A.蒸发溶剂          B.增加溶剂
C.降低温度          D.升高温度.

查看答案和解析>>

科目: 来源:2010年重庆一中中考化学一模试卷(解析版) 题型:填空题

重庆一中某次课外活动举行了一次有趣的比赛:“谁的四轮车一次运行的距离最远”.初三化学兴趣小组制作了如图所示的一辆小车,他们往试管中加入两试种剂,塞紧塞子,通过产生的气体喷出时的反冲力,使小车向前运动了.(可选择的试剂:①锌粉,②铜粉,③铁粉,④10%的稀盐酸,⑤10%的稀硫酸)
(1)测得10%的稀盐酸比10%的稀硫酸pH小,则10%的稀盐酸酸性更    (填“强”或“弱”).
(2)理论上,在加入的两种试剂总质量相同的条件下,小组选择的最符合比赛要求的试剂应是    (填序号),在试管中发生反应的化学方程式为   
(3)在加入的两种试剂总质量相同的条件下,若要使小车的运动速度比(1)中所选试剂快,应选择的两种试剂是    (填序号).
(4)另一小组根据同样的推进原理,但不进行化学反应,也能使小车运动.他们向盛有水的试管中加入的物质可以是    (填一种物质的名称).

查看答案和解析>>

科目: 来源:2010年重庆一中中考化学一模试卷(解析版) 题型:解答题

今天是学校实验室开放日,小东来到实验桌前,桌上摆放有下列仪器:
(1)他完成的第一个任务是写出仪器的名称,完成情况如图所示,其中名称有错误的是______(填序号).
(2)可在酒精灯上直接加热的玻璃仪器______(填序号).过滤除选用______、______外(填序号),还需补充的仪器______、______(填仪器名称).

查看答案和解析>>

科目: 来源:2010年重庆一中中考化学一模试卷(解析版) 题型:解答题

可燃物燃烧必须同时具备:①与氧气接触 ②温度达可燃物的着火点两个条件,只要破坏一个条件,就能达到灭火的目的.小明用图所示的装置进行蜡烛燃烧实验时,发现了一个奇怪的现象:燃着的小蜡烛一会就熄灭了,当他将分液漏斗中的水向集气瓶中注入少量时,铝盒中的白磷却立即燃烧起来了.
[实验反思1]小蜡烛为什么会熄灭?
[表达与交流]针对上述实验事实和课本中对燃烧的描述,你对可燃物燃烧条件更深的一点认识是:______.
[实验反思2]该实验中,生石灰的主要作用是______.
[实验反思3]实验结束后,集气瓶底部的固体中除未反应完的氧化钙外,还含有哪些成分?
[交流分析]可能还含有氢氧化钙、碳酸钙.(假设白烟全部留在气球中)
[实验方案]取样品加入试管中,加水振荡,静置,有不溶物;上层清液中滴入酚酞试液,溶液变红,则固体中含有氢氧化钙、碳酸钙.
大家讨论后认为此方案不严密.不能确定氢氧化钙的原因是:______(用化学方程式回答).要证明含有碳酸钙还需加入一种试剂,反应的化学方程式为______,能观察到的现象是______.
[拓展与应用]只要将分液漏斗换为注射器,该装置还可用于______(填实验名称).

查看答案和解析>>

同步练习册答案