相关习题
 0  80691  80699  80705  80709  80715  80717  80721  80727  80729  80735  80741  80745  80747  80751  80757  80759  80765  80769  80771  80775  80777  80781  80783  80785  80786  80787  80789  80790  80791  80793  80795  80799  80801  80805  80807  80811  80817  80819  80825  80829  80831  80835  80841  80847  80849  80855  80859  80861  80867  80871  80877  80885  211419 

科目: 来源:2012年甘肃省定西市、临夏州中考化学试卷(解析版) 题型:解答题

如图是A、B两种固体物质的溶解度曲线,请回答下列问题:
(1)t1℃时,A物质的溶解度______(填“>”、“=”或“<”)B物质的溶解度.
(2)将t2℃时A、B两种物质的饱和溶液降温至t1℃(其他条件不变),没有晶体析出的是______.
(3)t2℃时,有一接近饱和的B溶液,可采用______(任写一种)的方法,使它变为饱和溶液.
(4)t2℃时,将30gA物质投入100g水中,充分搅拌后,所得溶液中溶质质量分数是______.

查看答案和解析>>

科目: 来源:2012年甘肃省定西市、临夏州中考化学试卷(解析版) 题型:解答题

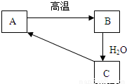
A、B、C、D是实验室常见的四种物质,A、B、C在一定条件下的转化关系如图所示.在C溶液中通入CO2,溶液变浑浊,生成白色沉淀A.D与A、B、C均能发生反应,与A反应有CO2气体产生,与C发生中和反应,与AgNO3溶液反应,可产生不溶于稀硝酸的白色沉淀.请回答:
(1)写出B、C的化学式:B______,C______.
(2)C转化成A的化学方程式为______.D与A反应的化学方程式为______,基本反应类型是______.

查看答案和解析>>

科目: 来源:2012年甘肃省定西市、临夏州中考化学试卷(解析版) 题型:解答题

通过一年的学习,你已经掌握了实验室制取某些其体的方法.请结合下图提供的一些实验装置回答下列问题.

(1)写出图中标有数字的仪器名称:①______;②______.
(2)若用氯酸钾制取氧气,则发生装置应选______,该反应的化学方程式是______△2KCl+3O2

查看答案和解析>>

科目: 来源:2012年甘肃省定西市、临夏州中考化学试卷(解析版) 题型:解答题

一次趣味化学活动中,老师向同学们展示了一瓶标签受损的无色溶液,如图所示,要求同学们进行探究:确认这瓶无色液体是什么?
【提出猜想】
老师提示:这瓶无色溶液只可能是下列三种溶液中的一种:
①氯化钠溶液②硫酸钠溶液③碳酸钠溶液
【实验探究】
(1)陈丹同学仔细观察了试剂瓶的标签,认为猜想______(填序号)不成立,其原因是______.
(2)为确定其它几种猜想是否正确,陈丹同学继续进行探究:
实验操作实验现象实验结论
取该溶液少许于试管中,向其中滴加稀盐酸无明显现象______
______猜想______成立
【反思与交流】
(3)小雨同学经查阅资料获知,氯化钠溶液、硫酸钠溶液的pH都等于7.于是他提出还可以用pH的方法来确定该无色溶液.请你简述用pH试纸测定溶液pH的方法:______.小雨同学通过什么现象确定这瓶无色溶液是何种液体?

查看答案和解析>>

科目: 来源:2012年甘肃省定西市、临夏州中考化学试卷(解析版) 题型:填空题

甘肃特产一通渭县的苦荞茶,长期饮用,可改善身体状况,降低高血糖、高血压、高血脂的发病率,并能有效缓解糖尿病症状.苦荞茶中含有黄酮类物质,其主要成分为芦丁,芦丁的化学式是C27H3016.请计算:
(1)芦丁中,碳、氢两种元素的质量比为   
(2)芦丁中.碳元素的质量分数    (计算结果精确到0.1%).

查看答案和解析>>

科目: 来源:2012年甘肃省定西市、临夏州中考化学试卷(解析版) 题型:解答题

在活动与探究实验中,老师提供了一包钾肥(见图)样品,让同学们通过实验确定该样品的纯度(硫酸钾的质量分数)是否符合标准.小红同学称取8.Og样品,加人适量的水溶解后,与足量的BaCl2溶液充分反应,生成BaS04沉淀,过滤、洗涤、烘干沉淀,测得其质量为9.32g,试通过计算确定该化肥的纯度是否符合包装袋上的说明(假设杂质不与BaCl2溶液反应,计算结果精确到0.1%).

查看答案和解析>>

科目: 来源:2013年湖南省长沙市中考化学试卷(解析版) 题型:选择题

根据日常经验和你所学的化学知识,判断下列变化属于物理变化的是( )
A.白醋挥发
B.铁锅生锈
C.煤炭燃烧
D.饭菜变馊

查看答案和解析>>

科目: 来源:2013年湖南省长沙市中考化学试卷(解析版) 题型:选择题

人类生存离不开空气,下列说法正确的是( )
A.空气中可吸入颗粒物(PM2.5)的多少不影响人体健康
B.空气是混合物
C.空气中不含二氧化碳
D.氮气可以供给呼吸

查看答案和解析>>

科目: 来源:2013年湖南省长沙市中考化学试卷(解析版) 题型:选择题

下列图示实验操作中,正确的是( )
A.
给液体加热
B.  
闻气体气味
C.  
读取液体体积
D.
熄灭酒精灯

查看答案和解析>>

科目: 来源:2013年湖南省长沙市中考化学试卷(解析版) 题型:选择题

下列物质能在氧气中剧烈燃烧,火星四射,放出热量,生成黑色固体的是( )
A.木炭
B.红磷
C.铁丝
D.硫粉

查看答案和解析>>

同步练习册答案