相关习题
 0  80719  80727  80733  80737  80743  80745  80749  80755  80757  80763  80769  80773  80775  80779  80785  80787  80793  80797  80799  80803  80805  80809  80811  80813  80814  80815  80817  80818  80819  80821  80823  80827  80829  80833  80835  80839  80845  80847  80853  80857  80859  80863  80869  80875  80877  80883  80887  80889  80895  80899  80905  80913  211419 

科目: 来源:2013年浙江省宁波市江南中学中考化学一模试卷(解析版) 题型:选择题

调味剂是重要的食品添加剂,将下列调味剂加入水中,不能形成溶液的是( )
A.食盐
B.蔗糖
C.味精
D.芝麻油

查看答案和解析>>

科目: 来源:2013年浙江省宁波市江南中学中考化学一模试卷(解析版) 题型:选择题

正确的化学实验操作是实验成功和人身安全的重要保证.下列实验操作正确的是( )
A.
倾倒液体
B.
称量氢氧化钠
C.
氧气验满
D.
读取液体体积

查看答案和解析>>

科目: 来源:2013年浙江省宁波市江南中学中考化学一模试卷(解析版) 题型:选择题

下列事实不能说明分子之间有间隔的是( )
A.墙内开花墙外香
B.空气受热体积膨胀
C.氧气加压降温形成液氧
D.1体积酒精和1体积水混合小于2体积

查看答案和解析>>

科目: 来源:2013年浙江省宁波市江南中学中考化学一模试卷(解析版) 题型:选择题

下列叙述错误的是( )
A.用肥皂水可区分硬水和软水
B.用水可区分硝酸铵和氢氧化钠固体
C.用酚酞溶液可区分盐酸和食盐水
D.用氮气充入食品包装袋内可延长食品的保质期

查看答案和解析>>

科目: 来源:2013年浙江省宁波市江南中学中考化学一模试卷(解析版) 题型:选择题

下列几种常见的食物中,维生素含量最丰富的是( )
A.
米饭
B.
苹果
C.
蛋糕
D.
大馍

查看答案和解析>>

科目: 来源:2013年浙江省宁波市江南中学中考化学一模试卷(解析版) 题型:选择题

茶叶中含有茶氨酸(C7H14O3N2,又称谷氨酰乙胺),它有降低血压,提高记忆力、保护神经细胞、减肥等效果.下列有关它的说法中,正确的是( )
A.茶氨酸中氧元素的质量分数为12%
B.茶氨酸的相对分子质量为174g
C.茶氨酸由C、H、O、N四种元素组成
D.茶氨酸中含有1个氮分子

查看答案和解析>>

科目: 来源:2013年浙江省宁波市江南中学中考化学一模试卷(解析版) 题型:选择题

右图是a,b,c三种固体物质的溶解度曲线,下列叙述正确的是( )

A.将a、b、c三种物质t1℃时的饱和溶液升温至t2℃,所得溶液的溶质质量分数大小关系是a>b>c
B.t2℃时30g物质a加入到50g水中不断搅拌,形成80g溶液
C.t1℃时a,b,c三种物质的饱和溶液中含有溶质质量按由小到大的顺序排列是b>a=c
D.若a中混有少量c,可以采用冷却热饱和溶液的方法提纯a

查看答案和解析>>

科目: 来源:2013年浙江省宁波市江南中学中考化学一模试卷(解析版) 题型:选择题

下列有关物质的用途,说法错误的是( )
A.厨房洗涤剂清洗油污后形成乳浊液
B.农业上常用铁桶盛放波尔多液
C.用铁粉作食品保鲜吸氧剂
D.金刚石的硬度大,可用来裁玻璃

查看答案和解析>>

科目: 来源:2013年浙江省宁波市江南中学中考化学一模试卷(解析版) 题型:选择题

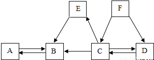
初中化学中几种常见物质之间的相互转化关系如图所示.已知常温下B、C为气体,且B是植物进行光合作用的一种重要原料;D、F均为无色液体,都由两种相同的元素组成,且分子中原子个数比依次为2:1和1:1;E为黑色固体,与稀硫酸反应得到蓝色溶液(部分反应物和生成物及反应条件已略去).下列有关判断正确的是( )

A.E转变为B一定是置换反应
B.A不一定是含CO32-或HCO3-的盐
C.D、F中相同元素的化合价一定相同
D.除去B中混有的少量C,可以将混合气体通过盛有NaOH溶液的洗气瓶

查看答案和解析>>

科目: 来源:2013年浙江省宁波市江南中学中考化学一模试卷(解析版) 题型:选择题

天天同学梳理了以下知识:
①用果汁、小苏打、柠檬酸、凉开水等自制汽水;
②用食盐水浸泡菜刀以除去表面的锈斑;
③用石灰水吸收空气中过量的CO2,以解决温室效应;
④用活性炭可除去硬水中的氯化钙杂质;
⑤厨房天然气管道漏气,应立即关闭阀门并轻轻打开门窗通风;
⑥为了增强肥效,应将铵态氮肥和草木灰混合使用;
⑦最外层电子数为8的粒子不一定是稀有气体元素的原子.
其中正确的是( )
A.①⑤⑦
B.①②⑤⑦
C.②④⑥
D.①⑤⑥⑦

查看答案和解析>>

同步练习册答案