相关习题
0 80761 80769 80775 80779 80785 80787 80791 80797 80799 80805 80811 80815 80817 80821 80827 80829 80835 80839 80841 80845 80847 80851 80853 80855 80856 80857 80859 80860 80861 80863 80865 80869 80871 80875 80877 80881 80887 80889 80895 80899 80901 80905 80911 80917 80919 80925 80929 80931 80937 80941 80947 80955 211419
科目:
来源:2013年云南省黔西南州册亨县中考化学模拟试卷(解析版)
题型:选择题
类推是常用的思维方法.以下类推正确的是( )
A.分子可以构成物质,所以物质一定由分子构成
B.离子是带电荷的粒子,所以带电荷的粒子一定是离子
C.酸溶液的pH小于7,所以柠檬酸溶液的pH一定小于7
D.有机物都含碳元素,所以含碳元素的化合物一定是有机物
查看答案和解析>>
科目:
来源:2013年云南省黔西南州册亨县中考化学模拟试卷(解析版)
题型:选择题
现有氧化铁.稀硫酸.氢氧化钠溶液.氯化钡溶液和碳酸钾溶液五种物质,在常温下它们两两相互发生的化学反应有( )
A.4个
B.5个
C.6个
D.7个
查看答案和解析>>
科目:
来源:2013年云南省黔西南州册亨县中考化学模拟试卷(解析版)
题型:选择题
二甲醚(C2H6O)具有清洁无污染、易于制造的特性,将有望成为一种全新的替代能源,在国内实现普及.下列有关二甲醚的说法错误的是( )
A.二甲醚的相对分子质量为46
B.二甲醚属于有机化合物
C.二甲醚由2个碳原子、6个氢原子和1个氧原子构成
D.二甲醚与甲烷完全燃烧后的产物相同
查看答案和解析>>
科目:
来源:2013年云南省黔西南州册亨县中考化学模拟试卷(解析版)
题型:选择题
下列反应中属于复分解反应的是( )
A.NaOH+HCl=NaCl+H
2O
B.2H
2O

2H
2↑+O
2↑
C.2Mg+O
2 
2MgO
D.Zn+H
2SO
4=ZnSO
4+H
2↑
查看答案和解析>>
科目:
来源:2013年云南省黔西南州册亨县中考化学模拟试卷(解析版)
题型:选择题
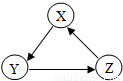
下列各组物质,不能按照图关系相互转化的是(“→”表示反应一步完成)( )

A.X是CaCO
3,Y是CaO,Z是Ca(OH)
2B.X是BaCl
2,Y是Ba(NO
3)
2,Z是BaCO
3C.X是CuCl
2,Y是Cu(OH)
2,Z是CuSO
4D.X是Na
2SO
4,Y是NaCl,Z是NaNO
3
查看答案和解析>>
科目:
来源:2013年云南省黔西南州册亨县中考化学模拟试卷(解析版)
题型:填空题
化学与工农业生产、日常生活密切相关,回答下列问题.
(1)蔬菜、水果中富含的 能调节新陈代谢,维持人的身体健康.
(2)加钙牛奶中的“钙”是指钙 ,身体中一旦缺钙,可能患有的疾病是 .
(3)下列物品中,所使用的主要材料属于天然纤维的是
A.塑料保鲜膜 B.橡胶手套 C.棉布围裙 D.玻璃杯
(4)化肥KH2PO4 属于 肥料,磷酸二氢钙的化学式为 .
查看答案和解析>>
科目:
来源:2013年云南省黔西南州册亨县中考化学模拟试卷(解析版)
题型:填空题
台灯是在光线不足时常用的照明用具.小明对桌上的台灯进行了认真观察,发现它由多种材料制成.
(1)图中标示的物质属于金属材料的有
(填序号).
(2)灯管后面的反光片为铝箔.铝块能制成铝箔是利用了铝的
性.下列铝与铁的比较中不正确的是
.
A.铝比铁活泼 B.铝的导电性比铁好
C.铝箔比铁螺丝更耐腐蚀 D.地壳中铁比铝含量大
(3)若要验证铜、铁、铝的活动性顺序,小明选择了打磨过的铁丝,同时又选择的两种溶液是
溶液和
溶液.

查看答案和解析>>
科目:
来源:2013年云南省黔西南州册亨县中考化学模拟试卷(解析版)
题型:填空题
随着科技的进步,食品防腐技术在不断发展.
(1)在食品包装袋中放置抗氧化剂是常用的防腐方法.铁粉是常用的抗氧化剂,俗称“双吸剂”,原因是
.
(2)亚硝酸钠(NaNO
3)也是一种常用的防腐剂,结合“小资料”回答问题.

①针对小资料,小明设计了如图所示的试验.
试验A中观察到的现象是
,反应的化学方程式为
.试验B中观察到溶液由浅绿色变为黄色.小明设计上述试验的目的是
.
②亚硝酸钠加热分解放出有刺激性气味的气体,该气体不可能是
.
A.NO
2 B.NH
3 C.N
2 D.SO
2.
查看答案和解析>>
科目:
来源:2013年云南省黔西南州册亨县中考化学模拟试卷(解析版)
题型:填空题
如图1是某学生绘制的元素周期表的一部分.


根据相关信息与知识回答下列问题.
(1)1869年,俄国化学家
发现了元素周期律并编制了元素周期表.
(2)氦、氖、氩等稀有气体的化学性质很不活泼,原因是
.
(3)写出原子序数分别为8、13两种元素组成的化合物的化学式:
.
(4)仔细阅读和观察上表,其中有一种常见元素的元素名称书写有误,写出其正确的元素名称:
.
(5)上述元素在周期表中处于同一周期的依据是
.
(6)硫与氧气的反应(S+O
2 
SO
2)如图2所示.
设N个氧气分子的质量为32g,则64g氧气与足量硫粉完全反应生成的二氧化硫分子数为
N.
查看答案和解析>>
科目:
来源:2013年云南省黔西南州册亨县中考化学模拟试卷(解析版)
题型:填空题
如图是配制溶质质量分数为10%的NaCl溶液的实验操作示意图:

(1)用如图表示的序号表示配制溶液的正确操作顺序
.
(2)图②中,有一种塑料仪器,其名称是
.
(3)称量NaCl时,天平平衡后的状态如图所示,游码标尺示数见图,则称取得NaCl质量为
.

(4)根据计算需要量取水的体积是
(水的密度为1g/mL).量取读数时,如图视线角度正确的是
.(选填字母序号)

查看答案和解析>>