相关习题
 0  80939  80947  80953  80957  80963  80965  80969  80975  80977  80983  80989  80993  80995  80999  81005  81007  81013  81017  81019  81023  81025  81029  81031  81033  81034  81035  81037  81038  81039  81041  81043  81047  81049  81053  81055  81059  81065  81067  81073  81077  81079  81083  81089  81095  81097  81103  81107  81109  81115  81119  81125  81133  211419 

科目: 来源:2013年云南省楚雄州大姚县石羊中学中考化学一模试卷(解析版) 题型:选择题

某物质X在空气中燃烧的化学方程式为:2X+13O2=8CO2+10H2O,则X的化学式为( )
A.C2H5OH
B.H2
C.CH4
D.C4H10

查看答案和解析>>

科目: 来源:2013年云南省楚雄州大姚县石羊中学中考化学一模试卷(解析版) 题型:选择题

如图是a、b两种固体物质的溶解度曲线,下列说法中正确的是( )

A.a物质的溶解度大于b物质的溶解度
B.t1℃时,30克a物质加入到70克水中,所得溶液溶质质量分数为30%
C.t1℃时,将a、b两种物质的饱和溶液升温至t2℃,所得a、b两种物质的溶液中溶质质量分数相等
D.将 t2℃时b物质的溶液降温到t1℃,溶液一定变为饱和溶液

查看答案和解析>>

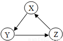
科目: 来源:2013年云南省楚雄州大姚县石羊中学中考化学一模试卷(解析版) 题型:选择题

下列各组物质,不能按照图关系相互转化的是(“→”表示反应一步完成)( )

A.X是CaCO3,Y是CaO,Z是Ca(OH)2
B.X是BaCl2,Y是Ba(NO32,Z是BaCO3
C.X是CuCl2,Y是Cu(OH)2,Z是CuSO4
D.X是Na2SO4,Y是NaCl,Z是NaNO3

查看答案和解析>>

科目: 来源:2013年云南省楚雄州大姚县石羊中学中考化学一模试卷(解析版) 题型:填空题

用化学用语填空:
(1)2个氮原子   
(2)钙离子   
(3)氢氧化钾   
(4)二氧化硫中硫元素的化合价    . 
(5)地壳中含量最多的元素   

查看答案和解析>>

科目: 来源:2013年云南省楚雄州大姚县石羊中学中考化学一模试卷(解析版) 题型:填空题

从石墨、氧气、小苏打、加铁酱油、蛋白质五种五种中选择填空.
(1)抢救病人常用的气体    .(2)焙制糕点时作为发酵粉的是   
(3)具有良好导电性的固态非金属单质    .(4)预防缺铁性贫血常用的调味剂是   
(5)今年,我省大部分中小学生都吃上了国家免费提供的“营养餐”.其中牛奶和鸡蛋富含的营养餐是   

查看答案和解析>>

科目: 来源:2013年云南省楚雄州大姚县石羊中学中考化学一模试卷(解析版) 题型:填空题

今年,我省大部分地区旱情严重,有些旱区村民靠打深井取用地下水.
(1)小敏家打了口深井,看到抽出的水,他急切地接了一杯,发现水有异味,小敏立刻想到可用木炭除去异味,这是利用了木炭的    作用.
(2)身处旱区的我们该怎样节约用水?    (请举一例).

(3)如图是自来水用氯气消毒过程中发生化学反应的微观模拟示意图.其中“○”表示氧原子、“●”表示氯原子、“●”氢原子,该反应的化学方程式为:    .该示意图说明了化学变化的实质是    .从微观的角度解释化学反应前后质量守恒的原因   

查看答案和解析>>

科目: 来源:2013年云南省楚雄州大姚县石羊中学中考化学一模试卷(解析版) 题型:解答题

下表是元素周期表中部分元素的相关信息,据图回答下列问题

(1)质子数为11的元素名称是______,该元素的原子在化学反应中易______电子(填“得”或“失”).
(2)原子序数为9和17的元素化学性质相似是因为它们原子的______数相等.
(3)氦元素的相对原子质量为______.

查看答案和解析>>

科目: 来源:2013年云南省楚雄州大姚县石羊中学中考化学一模试卷(解析版) 题型:填空题

构建知识网络,可以帮助我们理解知识间的内在联系,如图是关于铁化学性质的知识网络.请回答下列问题:

(1)铁丝在氧气中燃烧生成黑色固体A,写出A的化学式   
(2)写出防止铁生锈的一种方法   
(3)若要证明Fe、Cu、Ag三种金属的活动性顺序,只需选用Fe、Ag和X溶液三种试剂,X是    ,溶液,写出发生反应的化学方程式    ,该反应的基本类型是   
(4)若X为稀硫酸,向Fe和X溶液反应后的溶液中加入一定量的锌粉,有气泡产生,充分反应后过滤,得到滤渣和滤液,下列对滤渣和滤液中溶质的成分分析正确的是   
A.滤液中一定含有FeSO4和ZnSO4
B.滤渣中只含有Fe
C.滤液中一定含有ZnSO4
D.滤渣中一定含有Zn和Fe.

查看答案和解析>>

科目: 来源:2013年云南省楚雄州大姚县石羊中学中考化学一模试卷(解析版) 题型:填空题

空气是一种宝贵的自然资源,请结合相关知
识回答下列问题:
(1)如图是用白磷测定空气中氧气含量的一种方法.该实验说明氧气约占空气总体积的    ,还说明氮气具有    的性质(一条即可).图中放大镜为白磷燃烧提供的条件是    .请写出实验室用高锰酸钾制取氧气的化学方程式   
(2)臭氧层空洞、酸雨和温室效应是当今世界三大环境问题.形成酸雨的主要原因是空气受硫和氮的氧化物的污染.请举一例,说明酸雨的危害    .下列反应都与CO2有关,试分析判断,会加剧“温室效应”的主要化学反应有    (填序号).
A.煤燃烧  B.石油产品燃烧  C.植物的光合作用
(3)煤、石油、    属于化石燃料.要节约和有效利用现有的能源,我们还应该开发新能源,如:    (一种即可)、核能、地热能等.

查看答案和解析>>

科目: 来源:2013年云南省楚雄州大姚县石羊中学中考化学一模试卷(解析版) 题型:解答题

据图所示的实验装置回答问题.

(1)写出指定实验仪器的名称:a______;b______.
(2)实验室制取二氧化碳时,可选用的发生装置是______(填字母代号),发生反应的化学方程式为:______,二氧化碳气体验满的方法是______.

查看答案和解析>>

同步练习册答案