相关习题
 0  81113  81121  81127  81131  81137  81139  81143  81149  81151  81157  81163  81167  81169  81173  81179  81181  81187  81191  81193  81197  81199  81203  81205  81207  81208  81209  81211  81212  81213  81215  81217  81221  81223  81227  81229  81233  81239  81241  81247  81251  81253  81257  81263  81269  81271  81277  81281  81283  81289  81293  81299  81307  211419 

科目: 来源:2013年5月中考化学模拟试卷(9)(解析版) 题型:解答题

如表提供了A、B两种物质的溶解度数据,读取信息后回答:
温度/℃20406080100
物质A27.634.040.045.551.156.7
物质B13.331.663.9110169246
(1)A、B物质都属于______物质(填“难溶”、“微溶”、“可溶”或“易溶”);
(2)A、B两物质溶解度随温度变化趋势的不同是
______如图给出的曲线中,______与A物质溶解度的变化趋势相符(填曲线编号);
(3)从A、B两物质的混合物中分离出B物质,一般采用______的方法.

查看答案和解析>>

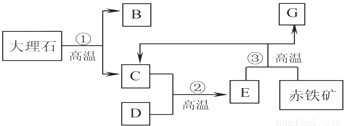
科目: 来源:2013年5月中考化学模拟试卷(9)(解析版) 题型:填空题

工业上以大理石和赤铁矿为主要原料制取B和G,其转化关系如图所示,已知D、G为单质.回答下列问题:
(1)写出B的化学式:   
(2)写出反应①的化学方程式:   
(3)写出反应③的化学方程式   

查看答案和解析>>

科目: 来源:2013年5月中考化学模拟试卷(9)(解析版) 题型:解答题

氢气是最轻的气体,难溶于水.氢气作为未来的理想能源,是航天工业的高能燃料,也是化工生产的重要原料.实验室通常采用下面装置制取少量氢气,

请根据要求回答:
(1)实验室用稀盐酸和锌粒制取氢气的化学反应方程式为______,不用浓盐酸原因是______,实验中可采用G方法放置的原因是______.
(2)B装置的作用是______.
(3)该发生装置也可以制取二氧化碳,其发生反应的化学方程式为______.

查看答案和解析>>

科目: 来源:2013年5月中考化学模拟试卷(9)(解析版) 题型:解答题

葡萄糖是生命体所需能量的主要来源.
[提出问题]葡萄糖的燃烧产物是CO2和H2O,由此能否证明葡萄糖是只由碳元素和氢元素组成的有机物?
[实验设计]为了确定葡萄糖的元素组成,某小组设计了如下实验(其中浓硫酸、无水CaCl2均为常用干燥剂,部分固定装置省略).

(1)装置A中发生反应的化学方程式是______ 2H2O+O2

查看答案和解析>>

科目: 来源:2013年5月中考化学模拟试卷(9)(解析版) 题型:解答题

小苏打(主要成分为NaHCO3)中常含有少量氯化钠.化学兴趣小组的同学为了测定某品牌小苏打中NaHCO3的质量分数.进行了以下实验:称量样品置于烧杯中,向其中慢慢滴加稀盐酸,至不再产生气泡为止,测得的有关数据如下表所示.
物   质样    品消耗稀盐酸质量反应后溶液质量
质量(g)975.480
试计算:(计算结果保留一位小数)
(1)样品中的NaHCO3质量分数;
(2)所得溶液中NaCl的质量分数.

查看答案和解析>>

科目: 来源:2009年中考化学模拟试卷(14)(解析版) 题型:选择题

下列变化中,属于化学变化的是( )
A.红磷燃烧
B.冰融化成水
C.矿石粉碎
D.铜丝弯曲

查看答案和解析>>

科目: 来源:2009年中考化学模拟试卷(14)(解析版) 题型:选择题

下列氢气的性质中,属于化学性质的是( )
A.密度比空气小
B.无色无味
C.能跟氧气反应
D.难溶于水

查看答案和解析>>

科目: 来源:2009年中考化学模拟试卷(14)(解析版) 题型:选择题

空气中体积分数约占78%的气体是( )
A.氧气
B.氮气
C.二氧化碳
D.稀有气体

查看答案和解析>>

科目: 来源:2009年中考化学模拟试卷(14)(解析版) 题型:选择题

影响北京地区空气质量的气体污染物主要是( )
A.CO2、O2、N2
B.SO2、NO2、CO
C.CH4、CO2、SO2
D.HCl、CO2、N2

查看答案和解析>>

科目: 来源:2009年中考化学模拟试卷(14)(解析版) 题型:选择题

地壳中含量最多的金属元素是( )
A.氧
B.碳
C.铜
D.铝

查看答案和解析>>

同步练习册答案