相关习题
0 81123 81131 81137 81141 81147 81149 81153 81159 81161 81167 81173 81177 81179 81183 81189 81191 81197 81201 81203 81207 81209 81213 81215 81217 81218 81219 81221 81222 81223 81225 81227 81231 81233 81237 81239 81243 81249 81251 81257 81261 81263 81267 81273 81279 81281 81287 81291 81293 81299 81303 81309 81317 211419
科目:
来源:2013年5月中考化学模拟试卷(3)(解析版)
题型:填空题
用正确的化学用语填空:
2个氮分子 ;3个铁离子 ;硫酸中硫元素显+6价 ;
地壳中含量最多的金属元素和非金属元素组成的物质的化学式为 .
查看答案和解析>>
科目:
来源:2013年5月中考化学模拟试卷(3)(解析版)
题型:填空题
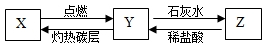
已知X是有毒且不溶于水的气体,Y是不支持燃烧的气体,Z是不溶于水的固体,X、Y、Z之间有如图的转化关系.请回答下列问题:

(1)写出X的化学式
;
(2)写出Y转化为Z的化学方程式:
;
(3)“物质的结构决定物质的性质”是重要的化学理论.气体X、Y的物理性质和化学性质都不同,其原因是
.
查看答案和解析>>
科目:
来源:2013年5月中考化学模拟试卷(3)(解析版)
题型:填空题
分析下列做法对实验产生的影响.(假定实验中其他操作均正确)
(1)用二氧化锰和一定量的过氧化氢溶液制氧气时,所用二氧化锰的量偏多,所制得的氧气质量 (填“偏大”、“偏小”或“不变”,下同).
(2)配制NaCl溶液时,若俯视量筒量取水的体积,所配得溶液的溶质质量分数 .
查看答案和解析>>
科目:
来源:2013年5月中考化学模拟试卷(3)(解析版)
题型:填空题
一定条件下,测得密闭容器内某反应过程中各物质质量的部分数据如表所示:
| 物质 | A | B | C | D |
| 反应前的质量/g | 20 | 20 | | |
| 反应一段时间后的质量/g | 12 | 4 | 8 | ① |
| 反应后的质量/g | ② | | ③ | ④ |
(1)表格中④的数值为
.
(2)该反应中A和C两种物质变化的质量比为
.
查看答案和解析>>
科目:
来源:2013年5月中考化学模拟试卷(3)(解析版)
题型:填空题
在Cu(NO3)2、A1(NO3)3和AgNO3的混合溶液中加入一定量的铁粉,充分反应后过滤,向滤出的固体上滴加稀硫酸时有气泡产生.则反应后所得溶液中含有的金属离子有 ;反应后溶液的质量比原混合溶液的质量 (填“大”或“小”);有关反应的化学方程式为 (写出一个即可).
查看答案和解析>>
科目:
来源:2013年5月中考化学模拟试卷(3)(解析版)
题型:填空题
如图为A、B、C三种物质的溶解度曲线.
(1)A、B两种物质的溶解度受温度影响较大的是
.
(2)A、B两物质溶解度曲线的交点表示的意义是
.
(3)把A、B、C的饱和溶液从t
2℃降至t
1℃时,没有晶体析出的是
.

查看答案和解析>>
科目:
来源:2013年5月中考化学模拟试卷(3)(解析版)
题型:解答题
如图是密闭体系中某反应的微观示意图,“○”和“●”分别表示不同原子.
(1)请用给定的符号,在反应前的方框内补全1个粒子模型.
(2)该化学反应的基本反应类型是什么?
(3)写出符合该微观示意图的一个具体反应的化学方程式.

查看答案和解析>>
科目:
来源:2013年5月中考化学模拟试卷(3)(解析版)
题型:填空题
请用化学方程式表示下列反应原理.
(1)铁在氧气中燃烧: ;
(2)乙醇(化学式为C2H5OH)用作燃料: ;
(3)工业上用一氧化碳还原氧化铁炼铁: .
查看答案和解析>>
科目:
来源:2013年5月中考化学模拟试卷(3)(解析版)
题型:解答题
化学是一门实验科学,关注物质变化过程,探究物质变化的条件很有必要.某化学兴趣小组做了如下图所示的实验.

A.探究燃烧的条件 B.探究铁钉生锈的条件
根据上述实验,回答下列问题:
(1)实验A 是通过控制哪些因素来探究可燃物燃烧的条件?写出白磷燃烧的化学方程式.
(2)实验B中,中间试管的实验目的是什么?
(3)请总结出铁制品发生锈蚀的主要条件并写出防止铁制品锈蚀的一种方法.
查看答案和解析>>
科目:
来源:2013年5月中考化学模拟试卷(3)(解析版)
题型:解答题
如图为某同学探究铁、铜、银三种金属活动性顺序的一组实验.通过上述实验,还不能证明这三种金属的活动性顺序,请你在此基础上补充一个实验帮助这位同学达到实验目的(写出实验步骤、现象、结论及发生的化学方程式).

查看答案和解析>>